搜索
才径谷 >执业类 >执业药师 >2022年执业药师《中药学专业知识一》模拟卷(二)

2022年执业药师《中药学专业知识一》模拟卷(二)试卷及答案大全

永久免费查看
更新时间:2026-04-10

2022年执业药师《中药学专业知识一》模拟卷(二)提供该考试科目的试卷全部试题及答案大全,科目内容齐全,答案供学员学习免费使用,助力考试通关!

第1题、 [单选题] 根据物质分子大小不同进行分离的方法是

A.液-液萃取法

B.结晶法

C.大孔吸附树脂法

D.离子交换法

E.凝胶过滤法

答案如下:
E
第3题、 [单选题] 结构属于有机胺类生物碱且具有挥发性的成分是

A.咖啡因

B.莨菪碱

C.麻黄碱

D.芦丁

E.苦参碱

答案如下:
C
第4题、 [单选题] 反相硅胶可选择的键合烃基是

A.羟基

B.硝基

C.羧基

D.十八烷基

E.磺酸基

答案如下:
D
第6题、 [单选题] 关于液体制剂质量要求的说法,错误的是

A.口服混悬剂的沉降体积比应不低于0.90

B.干混悬剂按干燥失重测定法测定,减失重量不得过2.0%

C.干混悬剂按各品种项下规定的比例加水振摇应均匀分散

D.凡检查含量均匀度的口服混悬剂,一般不再进行装量检查

E.凡检查分散均匀度的口服混悬剂,不再进行沉降体积比检查

答案如下:
E
第8题、 [单选题] 下列不属于单子叶植物根特征的是

A.表面常无栓皮而为表皮

B.断面可见内皮层环

C.断面无放射状结构

D.断面中央有髓

E.断面中央无髓

答案如下:
E
第9题、 [单选题] 既可内服又可外用的剂型是

A.钉剂

B.锭剂

C.条剂

D.棒剂

E.丹剂

答案如下:
B
第10题、 [单选题] 关于散剂生产与贮藏有关规定的说法,错误的是

A.儿科用散剂应为最细粉

B.局部用散剂应为最细粉

C.多剂量包装的散剂应附分剂量用具

D.含挥发性药物的散剂应密封贮存

E.含易吸潮药物的散剂应密闭贮存

答案如下:
E
第11题、 [单选题] 关于纯化水的说法,错误的是

A.为饮用水经蒸馏所得的水

B.用作配制注射剂的溶剂

C.用作配制口服液的溶剂

D.非灭菌制剂用器具的精洗用水

E.非灭菌制剂所用饮片的提取溶剂

答案如下:
B
第12题、 [单选题] 根据中药药性理论,升浮类药的功效是

A.祛风散寒

B.利水渗湿

C.止咳平喘

D.消积导滞

E.潜阳息风

答案如下:
A
第13题、 [单选题] 卵圆形,具三棱,灰黄色或稍深,粗糙,有纵线6条,味辛辣的药材是

A.吴茱萸

B.砂仁

C.马钱子

D.小茴香

E.巴豆

答案如下:
E
第14题、 [单选题] 按照《中国药典》中靶向制剂的分类,一级靶向制剂可使药物定向作用于

A.肺部

B.毛细血管床

C.特殊肿瘤细胞

D.细胞内一定部位

E.正常细胞

答案如下:
B
第15题、 [单选题] 急症患者宜选用的剂型是

A.注射剂

B.丸剂

C.片剂

D.外用膏剂

E.包衣片剂

答案如下:
A
第16题、 [单选题] 具有“钉头”的药材是

A.雄黄

B.赭石

C.滑石

D.石膏

E.芒硝

答案如下:
B
第17题、 [单选题] 目前应用较多的油脂性栓剂基质是

A.凡士林

B.甘油明胶

C.聚乙二醇

D.甘油

E.半合成椰子油酯

答案如下:
E
第18题、 [单选题] 注射剂中添加亚硫酸钠的目的是

A.减轻疼痛

B.防止药物氧化

C.调节pH

D.防止药物水解

E.抑制微生物增殖

答案如下:
B
第19题、 [单选题] 既具有“菊花心”,又具有“金井玉栏”现象的药材是

A.甘草

B.黄芪

C.防风

D.板蓝根

E.桔梗

答案如下:
B
第20题、 [单选题] 含鞣酸的药物栓剂,不宜选用的基质是

A.可可豆脂

B.甘油明胶

C.半合成山苍子油酯

D.半合成棕榈油酯

E.半合成椰子油酯

答案如下:
B
第21题、 [单选题] 用于区别芳环的取代方式、构型及构象常采用的方法是

A.NMR

B.IR

C.UV

D.MS

E.DEFT

答案如下:
B
第22题、 [单选题] 具有“罗盘纹”的药材是

A.黄芪

B.商陆

C.大黄

D.何首乌

E.防风

答案如下:
B
第23题、 [单选题] 下列不属于丸剂的是

A.水丸

B.糖丸

C.蜜丸

D.滴丸

E.胶丸

答案如下:
E
第24题、 [单选题] 《中国药典》规定,含量测定成分为木脂素的中药不包括

A.连翘

B.厚朴

C.细辛

D.五味子

E.马兜铃

答案如下:
E
第25题、 [单选题] 斑蝥有毒,为降低其毒性,宜采用的炮制方法是

A.土炒

B.砂炒

C.蛤粉炒

D.米炒

E.滑石粉炒

答案如下:
D
第26题、 [单选题] 龙胆苦苷的结构类型属于

A.单环单萜

B.双环单萜

C.环烯醚萜

D.裂环环烯醚萜

E.倍半萜

答案如下:
D
第27题、 [单选题] 以动物的生理产物入药的药材是

A.阿胶

B.五灵脂

C.珍珠

D.哈蟆油

E.海螵蛸

答案如下:
B
第28题、 [单选题] 具有显著镇痛作用的生物碱是

A.麻黄碱

B.小檗碱

C.延胡索乙素

D.雷公藤碱

E.苦参碱

答案如下:
C
第29题、 [单选题] 叶端急尖,叶基稍不对称,全缘,无毛或近无毛,气微弱而特异,味微苦,稍有黏性该药材是

A.侧柏叶

B.番泻叶

C.大青叶

D.罗布麻叶

E.枇杷叶

答案如下:
B
第30题、 [单选题] 除另有规定外,应检查融变时限的片剂是

A.咀嚼片

B.阴道片

C.泡腾片

D.口崩片

E.分散片

答案如下:
B
第31题、 [单选题] 《中国药典》中,以大黄素和大黄素甲醚为质量控制成分的中药是

A.雷公藤

B.肉桂

C.细辛

D.何首乌

E.秦皮

答案如下:
D
第32题、 [单选题] 关于缓释、控释制剂的说法,正确的是

A.缓释制剂给药后血药浓度波动较大

B.渗透泵片可以非恒速地释放药物

C.药效作用剧烈的药物宜制成控释制剂

D.肌内注射药物不可以是缓释制剂

E.药物治疗作用持久

答案如下:
E
第33题、 [单选题] 切面纤维性,类白色或微红色,有明显环纹及油点的饮片是

A.地榆

B.泽泻

C.黄精

D.石菖蒲

E.知母

答案如下:
D
第34题、 [单选题] 《中国药典》中,以阿多尼弗林碱为指标进行质量控制的中药是

A.黄连

B.苦参

C.防己

D.千里光

E.甘草

答案如下:
D
第35题、 [单选题] 解理指的是

A.矿物可以被磁铁或电磁吸引或者本身能够吸引物体的性质

B.矿物受力后沿一定的结晶方向裂开成光滑平面的性能

C.矿物抵抗外来机械作用的能力

D.矿物表面对投射光的反射能力

E.在温度4℃时矿物与同体积水的重量比

答案如下:
B
第36题、 [单选题] 炮制后能缓和苦燥之性,增强滋阴降火作用的是

A.姜黄柏

B.酒黄柏

C.蜜黄柏

D.盐黄柏

E.黄柏炭

答案如下:
D
第37题、 [单选题] 马钱子有毒,为降低其毒性,宜采用的炮制方法是

A.土炒

B.蛤粉炒

C.砂炒

D.米炒

E.滑石粉炒

答案如下:
C
第38题、 [单选题] 下列制剂中,需要检查可见异物的剂型是

A.滴眼剂

B.洗眼剂

C.眼膏剂

D.眼丸剂

E.眼膜剂

答案如下:
A
第39题、 [单选题] 下列图中所示药材为黄连(味连)的是

A.

B.

C.

D.

E.

答案如下:
B
第40题、 [单选题] 以下图中,杜仲是

A. 

B. 

C. 

D. 

E. 

答案如下:
B
第43题、 [单选题] 光山药的加工方法是

A.A

B.B

C.C

D.D

E.E

答案如下:
C
第44题、 [单选题] 生地黄的加工方法是

A.A

B.B

C.C

D.D

E.E

答案如下:
D
第48题、 [单选题] 来源于豆科,以心材入药的是

A.A

B.B

C.C

D.D

E.E

答案如下:
B
第49题、 [单选题] 来源于瑞香科,以含脂木质部入药的是

A.A

B.B

C.C

D.D

E.E

答案如下:
C
第50题、 [单选题] 来源于五加科,以茎髓入药的是

A.A

B.B

C.C

D.D

E.E

答案如下:
D
第51题、 [单选题] 药材葛根来源于

A.A

B.B

C.C

D.D

E.E

答案如下:
E
第52题、 [单选题] 药材粉葛来源于

A.A

B.B

C.C

D.D

E.E

答案如下:
B
第53题、 [单选题] 药材山药来源于

A.A

B.B

C.C

D.D

E.E

答案如下:
A
第54题、 [单选题] 药材板蓝根来源于

A.A

B.B

C.C

D.D

E.E

答案如下:
C
第55题、 [单选题] 七叶内酯苷的结构是

A.A

B.B

C.C

D.D

E.E

答案如下:
E
第56题、 [单选题] 氧化苦参碱的结构是

A.A

B.B

C.C

D.D

E.E

答案如下:
A
第57题、 [单选题] 具有显著抗疟作用的是

A.A

B.B

C.C

D.D

E.E

答案如下:
B
第58题、 [单选题] 具有显著抗炎作用的是

A.A

B.B

C.C

D.D

E.E

答案如下:
A
第59题、 [单选题] 具有显著抗肿瘤活性的是

A.A

B.B

C.C

D.D

E.E

答案如下:
E
第61题、 [单选题] 除另有规定外,要求检查释放度的剂型是

A.A

B.B

C.C

D.D

E.E

答案如下:
C
第62题、 [单选题] 雷公藤中的生物碱具有

A.A

B.B

C.C

D.D

E.E

答案如下:
A
第63题、 [单选题] 天仙子中的生物碱具有

A.A

B.B

C.C

D.D

E.E

答案如下:
B
第64题、 [单选题] 千里光中的生物碱具有

A.A

B.B

C.C

D.D

E.E

答案如下:
C
第65题、 [单选题] 有效成分为倍半萜的中药是

A.A

B.B

C.C

D.D

E.E

答案如下:
E
第66题、 [单选题] 有效成分为甾体皂苷的中药是

A.A

B.B

C.C

D.D

E.E

答案如下:
A
第67题、 [单选题] 除另有规定外,浓缩丸全部溶散时限为

A.A

B.B

C.C

D.D

E.E

答案如下:
B
第68题、 [单选题] 除另有规定外,滴丸全部溶散时限为

A.A

B.B

C.C

D.D

E.E

答案如下:
C
第69题、 [单选题] 除另有规定外,大蜜丸全部溶散时限为

A.A

B.B

C.C

D.D

E.E

答案如下:
E
第70题、 [单选题] 可用于调节注射剂渗透压的附加剂是

A.A

B.B

C.C

D.D

E.E

答案如下:
D
第71题、 [单选题] 为减轻注射时的疼痛而加入的附加剂是

A.A

B.B

C.C

D.D

E.E

答案如下:
B
第72题、 [单选题] 药物通过扩散与溶蚀两种作用释放的是

A.A

B.B

C.C

D.D

E.E

答案如下:
E
第77题、 [单选题] 纵断面有绢丝样光泽的是

A.A

B.B

C.C

D.D

E.E

答案如下:
A
第82题、 [单选题] 主产地为河南的是

A.A

B.B

C.C

D.D

E.E

答案如下:
D
第83题、 [单选题] 主产地为云南的是

A.A

B.B

C.C

D.D

E.E

答案如下:
E
第84题、 [单选题] 主产地为贵州的是

A.A

B.B

C.C

D.D

E.E

答案如下:
B
第86题、 [单选题] 除另有规定外,以炼蜜为黏合剂制备的丸剂是

A.A

B.B

C.C

D.D

E.E

答案如下:
D
第87题、 [单选题] 除另有规定外,以聚乙二醇为基质制备的是

A.A

B.B

C.C

D.D

E.E

答案如下:
B
第90题、 [单选题] 主产于四川的是

A.A

B.B

C.C

D.D

E.E

答案如下:
A
第91题、 [单选题] 主产于浙江的是

A.A

B.B

C.C

D.D

E.E

答案如下:
C
第92题、 [单选题] 主产于安徽的是

A.A

B.B

C.C

D.D

E.E

答案如下:
E
第93题、 [单选题] 图中所示为龙胆的是

A.A

B.B

C.C

D.D

E.E

答案如下:
B
第94题、 [单选题] 图中所示为柴胡的是

A.A

B.B

C.C

D.D

E.E

答案如下:
E
第95题、 [单选题] 体内药量与血药浓度的比值称为

A.A

B.B

C.C

D.D

E.E

答案如下:
C
第96题、 [单选题] 描述药物转运(消除)快慢的动力学参数是

A.A

B.B

C.C

D.D

E.E

答案如下:
A
第98题、 [单选题] 胶剂制备时,增加胶剂硬度的辅料是

A.A

B.B

C.C

D.D

E.E

答案如下:
A
第99题、 [单选题] 胶剂制备收胶时,利于气泡逸散的辅料是

A.A

B.B

C.C

D.D

E.E

答案如下:
D
第100题、 [单选题] 气雾剂制备时,作为喷射药物动力的辅料是

A.A

B.B

C.C

D.D

E.E

答案如下:
C
第101题、 [单选题] 附加剂氯化钠是

A.抗氧剂

B.增溶剂

C.抑菌剂

D.pH调节剂

E.渗透压调节剂

答案如下:
E
第102题、 [单选题] 根据中药制剂的生产要求,处方中原料药应固定产地,黄芩的主产地是

A.广东

B.浙江

C.河北

D.四川

E.黑龙江

答案如下:
C
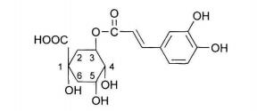
第103题、 [单选题] 黄芩中抗菌消炎的有效成分黄芩苷的结构为

其结构类型是

A.二萜

B.黄酮

C.蒽醌

D.香豆素

E.甾体

答案如下:
B
第104题、 [单选题] 方中含有抗菌作用化学成分为药是

A.连翘

B.金银花

C.麻黄

D.甘草

E.大黄

答案如下:
B
第105题、 [单选题] 下列不属于胶囊剂质量要求的是

A.水分

B.崩解时限

C.释放度

D.溶化性

E.微生物限度

答案如下:
D
第106题、 [单选题] 处方中,茎略呈方柱形,多分枝,表面被柔毛,质脆,易折断,断面中部有髓的药材是

A.甘草

B.广藿香

C.板蓝根

D.绵马贯众

E.鱼腥草

答案如下:
B
第107题、 [单选题] 炙麻黄炮制所用的辅料是

A.甘草水

B.姜汁

C.蜂蜜

D.食盐水

E.米醋

答案如下:
C
第108题、 [单选题] 马钱子来源是

A.木通科果实

B.马兜铃科种子

C.马兜铃科果实

D.马钱科果实

E.马钱科种子

答案如下:
E
第109题、 [单选题] 马钱子碱的结构类型是

A.黄酮类

B.吲哚类

C.皂苷类

D.萜类

E.蒽醌类

答案如下:
B
第110题、 [单选题] 马钱子中的毒性成分是

A.重金属

B.双酯类生物碱

C.番木鳖碱

D.黄曲霉毒素

E.斑蝥素

答案如下:
C
第111题、 [多选题] 中药的纯度检查包括

A.总灰分测定

B.酸不溶性灰分测定

C.杂质检查

D.酸败度测定

E.浸出物测定

答案如下:
A,B,C,D
第112题、 [多选题] 煅制白矾的炮制作用是

A.酸寒之性降低

B.收涩敛疮的作用增强

C.涌吐的作用减弱

D.止血化腐的作用增强

E.止泻的作用增强

答案如下:
A,B,C,D,E
第113题、 [多选题] 性状鉴别的内容是

A.形状、大小

B.表面颜色、特征

C.质地、断面

D.功能、主治

E.气、味

答案如下:
A,B,C,E
第114题、 [多选题] 含生物碱类化合物的中药有

A.防己

B.黄芩

C.麻黄

D.苦参

E.黄连

答案如下:
A,C,D,E
第115题、 [多选题] 下列药材中为菌类中药的是

A.冬虫夏草

B.五倍子

C.血竭

D.灵芝

E.茯苓

答案如下:
A,D,E
第116题、 [多选题] 生物利用度的评价指标有

A.Cmax

B.tmax

C.AUC

D.Cl

E.t1/2

答案如下:
A,B,C
第117题、 [多选题] 蒸、煮、燀法炮制常用的辅料有

A.酒

B.醋

C.麻油

D.蜜水

E.药汁

答案如下:
A,B,E
第118题、 [多选题] 需检测黄曲霉毒素的药材是

A.水蛭

B.土鳖虫

C.九香虫

D.胖大海

E.天花粉

答案如下:
A,B,C,D
第119题、 [多选题] 胆南星炮制所用的辅料有

A.白矾

B.胆汁

C.生姜

D.胆巴

E.石灰液

答案如下:
A,B,C
第120题、 [多选题] 黄酮类化合物的主要结构类型有

A.黄酮类

B.黄酮醇类

C.花色素类

D.橙酮类

E.蒽酮类

答案如下:
A,B,C,D