永久免费查看
更新时间:2026-04-10
2019年硕士研究生《数学(一)》真题提供该考试科目的试卷全部试题及答案大全,科目内容齐全,答案供学员学习免费使用,助力考试通关!
,则( ).
A.r(A)=2,r(
)=3
B.r(A)=2,r(
)=2
C.r(A)=1,r(
)=2
D.r(A)=1,r(
)=1
A.P(A∪B)=P(A)+P(B)
B.P(AB)=P(A)P(B)
C.P(A
)=P(B
)
D.P(AB)=P(
)
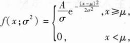
A.与μ无关,而与σ2有关
B.与μ有关,而与σ2无关
C.与μ,σ2都有关
D.与μ,σ2都无关
1,
2,
3为三阶矩阵,若
1,
2线性无关,且
3=-
1+2
2,则线性方程组Ax=0的通解为_______.

1,
2线性无关,
3=-
1+2
2,∴r(A)<3,∴r(A)=2,
1-2
2+
3=0,


,根据对称性可知
=0.