永久免费查看
更新时间:2026-04-10
2020年硕士研究生《数学(一)》真题提供该考试科目的试卷全部试题及答案大全,科目内容齐全,答案供学员学习免费使用,助力考试通关!
A.存在矩阵P,使得PA=B
B.存在矩阵P,使得BP=A
C.存在矩阵P,使得PB=A
D.方程组Ax=0与Bx=0同解
,P(AB)=O,P(AC)=P(BC)=1,则A,B,C中恰有一个事件发生的概率为( ).
A.
B.
C.
D.
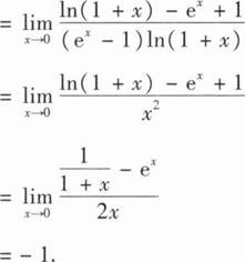
,
(x)
的近似值为( ).
A.1-
(1)
B.
(1)
C.1-
(0.2)
D.
(0.2)

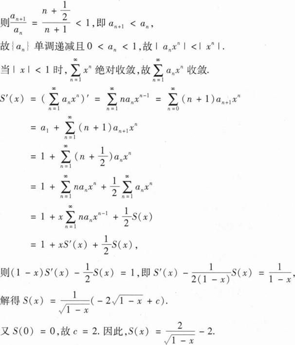
)an,证明:当|x|<1时,幂级数
收敛,并求其和函数.
)an,a1=1知an>0,
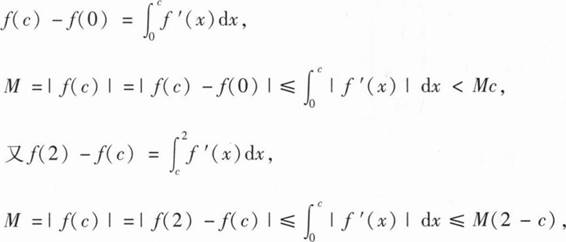
[0,2]知存在c∈(0,2),使|f(c)|=M.若
∈(0,c),使
∈(0,2),使f’(
)=0.
/∈(0,c]时,
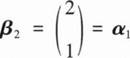
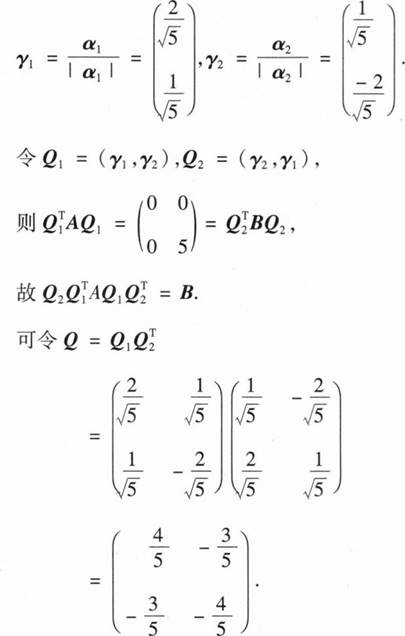
经正交变换
化为二次型g(y1,y2)=
,其中a≥b.






,
单位化,得
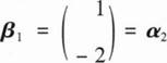
,A
),其中
是非零向量且不是A的特征向量.
+A
-6
=0,求P-1AP,并判断A是否相似于对角矩阵.
≠0且
不是A的特征向量,所以A
≠
,
与A
线性无关,
,A
)=2,
+A
-6
=0,即A2
=-A
+6
,

=-3,2,
+A
-6
=0,
=0,
=0,
≠0得(A2+A-6E)x=0有非零解,
=0,故A
=2
与题意矛盾,
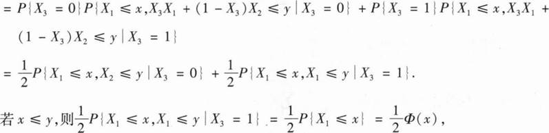
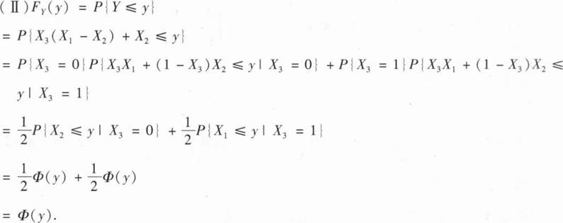
,Y=X3X1+(1-X3)X2.
(x)表示;
P{X1≤x,X1≤y|X3=1}=
P{X1≤y}=
(y),