永久免费查看
更新时间:2026-04-10
2021年硕士研究生《数学(一)》真题提供该考试科目的试卷全部试题及答案大全,科目内容齐全,答案供学员学习免费使用,助力考试通关!
A.dx+dy
B.dx-dy
C.dy
D.-dy
处的3次泰勒多项式为ax+bx2+cx3,则( ).
A.a=1,b=0,c=-
B.a=1,b=0,c=
C.a=-1,b=-1,c=-
D.a=-1,b=-1,c=
A.2,0
B.1,1
C.2,1
D.1,2
(x)表示标准正态分布函数.若该检验问题的拒绝域为
,其中
,则μ=11.5时,该检验犯第二类错误的概率为( ).
A.1-
(0.5)
B.1-
(1)
C.1-
(1.5)
D.1-
(2)
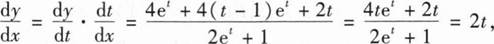
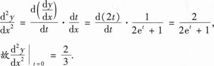
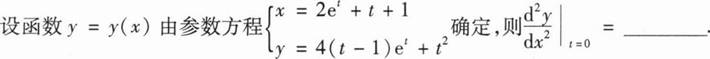
,又y(1)=1,y’(1)=2,
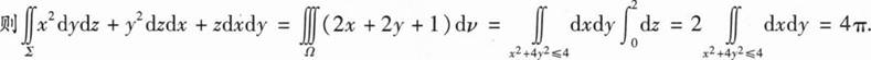
y2dzdx+zdxdy=______.
,其中Ω为∑围成的封闭区域.



,故A*的每行元素之和均为
. 

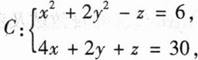
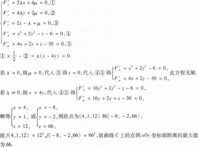
求C上的点到xOy坐标平面距离的最大值.
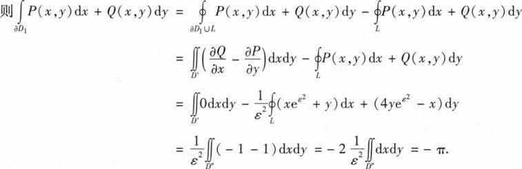
R2是有界单连通闭区域,

D1是D1的正向边界.
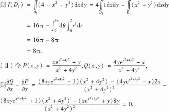
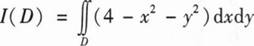
取得最大值,则D应该包含所有使得被积函数f(x,y)=4-x2-y2≥0并且D中不能包含使得f(x,y)=4-x2-y2<0的区域,故D1={(x,y)x2+y2≤4},
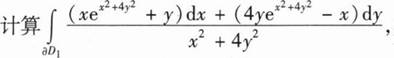
D1围成的区域D1上有奇点,所以要补充曲线L:x2+4y2=ε2,ε>0足够小,取顺时针方向,且L围成的区域为D”,则Q(x,y),P(x,y)在
D1与L围成的区域D’上满足格林公式的条件,




.
).

