搜索
才径谷 >建筑造价 >一级建造师 >2020年一级建造师《建设工程项目管理》真题

2020年一级建造师《建设工程项目管理》真题试卷及答案大全

永久免费查看
更新时间:2026-04-10

2020年一级建造师《建设工程项目管理》真题提供该考试科目的试卷全部试题及答案大全,科目内容齐全,答案供学员学习免费使用,助力考试通关!

第1题、 [单选题] 建设工程管理工作的核心任务是(  )。

A.质量管理

B.安全管理

C.目标控制

D.增值服务

答案如下:
D
第2题、 [单选题] 根据《建设项目工程总承包管理规范》,项目总承包方项目管理工作涉及(  )。

A.项目决策管理、设计管理、施工管理和试运行管理

B.项目设计管理、施工管理、试运行管理和项目收尾

C.项目决策管理、设计管理、施工管理、试运行管理和项目收尾

D.项目设计管理,采购管理,施工管理、试运行管理和项目收尾

答案如下:
D
第3题、 [单选题] 关于项目管理职能分工表的说法,正确的是(  )。

A.业主方和项目各参与方应编制统一的项目管理职能分工表

B.管理职能分工表不适用于企业管理

C.可以用管理职能分工描述书代替管理职能分工表

D.管理职能分工表可以表示项目各参与方的管理职能分工

答案如下:
D
第4题、 [单选题] 下列工程项目决策阶段策划工作内容中,属于组织策划的是(  )。

A.设计项目管理组织结构

B.制定项目管理工作流程

C.确定项目实施期组织总体方案

D.进行项目管理职能分工

答案如下:
C
第5题、 [单选题] 下列工程项目策划工作中,属于实施阶段策划的是()。

A.项目实施期管理总体方案策划

B.项目实施的风险策划

C.实施期合同结构总体方案策划

D.生产运营期经营管理总体方案策划

答案如下:
B
第6题、 [单选题] 与施工总承包模式相比,施工总承包管理模式在合同价格方面的特点是(  )。

A.合同总价一次性确定,对业主投资控制有利

B.施工总承包管理合同中确定总承包管理费和建安工程造价

C.所有分包工程都需要再次进行发包,不利于业主节约投资

D.分包合同价对业主是透明的

答案如下:
D
第7题、 [单选题] 根据《建设工程项目管理规范》,项目管理实施规划应由()组织编制。

A.项目技术负责人

B.项目经理

C.企业技术负责人

D.企业负责人

答案如下:
B
第8题、 [单选题] 根据《建筑施工组织设计规范》,关于施工组织设计审批的说法,正确的是()。

A.专项施工方案应由项目技术负责人审批

B.施工方案应由项目总监理工程师审批

C.施工组织总设计应由建设单位技术负责人审批

D.单位工程施工组织设计应由承包单位技术负责人审批

答案如下:
D
第9题、 [单选题] 施工过程中投资的计划值和实际值进行比较时,相对于工程合同价可作为投资计划值的是()。

A.投资估算

B.工程结算

C.施工图预算

D.竣工决算

答案如下:
A
第10题、 [单选题] 根据施工质量事故调查处理的一般程序,事故处理的最后一步工作是()。

A.提出事故鉴定结论

B.提交事故处理结果

C.提交事故处理报告

D.提出事故处理方案

答案如下:
C
第11题、 [单选题] 项目各参与方沟通过程的五个要素是指沟通主体、沟通客体、沟通介体以及()。

A.沟通内容和沟通渠道

B.沟通环境和沟通方法

C.沟通内容和沟通方法

D.沟通环境和沟通渠道

答案如下:
D
第12题、 [单选题] 取得建造师注册证书的人员是否担任工程项目施工的项目经理,取决于(  )。

A.建设行政主管部门

B.建筑业企业

C.建设单位

D.建设监理部门

答案如下:
B
第14题、 [单选题] 关于施工单位质量事故预防措施的说法,错误的是()。

A.控制建筑材料及制品的质量

B.做好施工现场环境管理

C.对施工图进行审查复核

D.选择正确的施工顺序

答案如下:
C
第15题、 [单选题] 住宅工程质量分户验收由(  )组织。-

A.建设单位

B.监理单位

C.施工单位

D.质量监督单位

答案如下:
A
第16题、 [单选题] 在安全生产管理预警体系中,技术变化的预警属于()系统。

A.内部管理不良预警

B.外部环境预警

C.预警信息管理

D.事故预警

答案如下:
B
第17题、 [单选题] 建设工程项目全面质量管理中的“全面”是指(  )的管理。

A.工程质量和工作质量

B.决策过程和实施过程

C.管理岗位和工作岗位

D.全方位和全流程

答案如下:
A
第18题、 [单选题] 在编制施工成本计划时通常需要进行“两算”对比,“两算”指的是()。

A.设计概算、施工图预算

B.施工图预算、施工预算

C.设计概算、投资估算

D.设计概算、施工预算

答案如下:
B
第19题、 [单选题] 对建设工程项目整个实施阶段的进度进行控制是()的任务。

A.投资方

B.DB总承包方

C.施工总承包管理方

D.项目使用方

答案如下:
A
第20题、 [单选题] 根据《建设工程施工专业分包合同(示范文本)》,关于专业工程分包人责任和义务的说法,正确的是(  )。

A.分包人应允许发包人授权的人员在工作时间内合理进入分包工程施工场地

B.分包人必须服从发包人直接发出的指令

C.遵守政府有关主管部门的管理规定但不用办理有关手续

D.分包人可以直接与发包人或工程师发生直接工作联系

答案如下:
A
第21题、 [单选题] 下列建设项目信息中,属于经济类信息的是(  )。

A.工作量控制信息

B.合同管理信息

C.质量控制信息

D.风险管理信息

答案如下:
A
第22题、 [单选题] 在施工质量控制的基本环节中,作业活动过程质量控制包括()

A.建设单位的质量控制和监理单位的质量控制

B.监理单位的质量控制和质量监督部门的质量控制

C.质量活动主体对工序质量偏差的纠正

D.质量活动主体的自我控制和他人监控

答案如下:
D
第23题、 [单选题] 根据《中华人民共和国建筑法》,工程监理人员发现工程设计不符合建筑工程质量标准或者合同约定的质量要求的,应当(  )。

A.报告总监理工程师

B.报告建设单位要求设计单位改正

C.通知施工单位

D.报告审图机构和建设行政主管部门

答案如下:
B
第25题、 [单选题] 建设工程质量监督机构对地基基础混凝土强度进行监督检测,属于政府质量监督中的(  )。

A.生产过程监督

B.工程实体质量监督

C.工程质量行为监督

D.施工管理状况监督

答案如下:
B
第26题、 [单选题] 下列计算方法中,不属于工程咨询合同咨询费计算方法的是(  )。

A.工程进度百分比

B.人月费单价法

C.工程建设费用百分比

D.按日计费法

答案如下:
A
第28题、 [单选题] 某按单价合同进行计价的招标工程,在评标过程中发现某投标人的总价与单价的计算结果不一致,原因是投标人在计算时将钢材单价4000元/吨误作为2000元/吨。对此,业主有权()。

A.以总价为准调整单价

B.以单价为准调整总价

C.要求投标人重新提交钢材单价

D.将该投标文件作废标处理

答案如下:
B
第30题、 [单选题] 施工单位应定期组织事故发生时疏散及抢救方法的训练和演习,这体现了安全隐患治理原则中的(  )原则。

A.预防与减灾并重治理

B.单项隐患综合治理

C.冗余安全度治理

D.直接与间接隐患并治

答案如下:
A
第31题、 [单选题] 某工程第三个月末时的已完工作实际费用(ACWP)为1200万元、已完工作预算费用(BCWP)为1000万元、计划工作预算费用(BCWS)为1500万元,根据赢得值法判断分析应采取的措施是()

A.迅速增加人员投入

B.增加高效人员投入

C.抽出部分人员,增加少量骨干人员

D.用工作效率高的人员更换一批工作效率低的人员

答案如下:
B
第32题、 [单选题] 关于横道图进度计划特点的说法,正确的是()。

A.可以识别计划的关键工作

B.不能表达工作逻辑关系

C.调整计划的工作量较大

D.可以计算工作时差

答案如下:
C
第35题、 [单选题] 质量控制活动包括:①设定目标;②纠正偏差;③测量检查;④评价分析。正确的顺序是()。

A.①-②-③-④

B.①-③-④-②

C.③-①-②-④

D.③-④-①-②

答案如下:
B
第36题、 [单选题] 项目管理机构进行成本核算。核算周期按(  )确定。

A.业主方的具体指示

B.合同约定的核算周期

C.规定的会计周期

D.项目实际施工周期

答案如下:
C
第37题、 [单选题] 下列施工成本管理措施中,不需要增加额外费用的是(  )

A.组织措施

B.合同措施

C.技术措施

D.优化措施

答案如下:
A
第38题、 [单选题] 关于“一揽子保险”(CIP)的说法,正确的是(  )。

A.内容不包括一般责任险

B.不能实施有效的风险管理

C.保障范围覆盖业主、承包商及分包商

D.不便于索赔

答案如下:
C
第39题、 [单选题] 为减少环境因素对施工质量的不利影响,施工企业主要采取(  )方法。

A.风险控制

B.动态控制

C.跟踪管理

D.静态控制

答案如下:
A
第40题、 [单选题] 关于施工项目成本表格核算法的说法,正确的是(  )。

A.人为控制因素少、精度高

B.项目财务部门比较常用

C.方便操作、但覆盖面较小

D.对核算工作人员的专业水平要求较高

答案如下:
C
第42题、 [单选题] 关于承包人施工合同分析内容的说法,正确的是()。

A.应明确承包人的合同标的

B.分析工程变更补偿范围,通常以合同金额的一定百分比表示,百分比值越大,承包人的风险越小

C.合同实施中,承包人必须无条件执行工程师指令的变更

D.分析索赔条款,索赔有效期越短,对承包人越有利

答案如下:
A
第43题、 [单选题] 施工项目的专项成本分析中,“成本支出率”指标用于分析()。

A.工期成本

B.成本盈亏

C.分部分项工程成本

D.资金成本

答案如下:
D
第44题、 [单选题] 评价和诊断项目质量控制体系的有效性,一般由(  )进行。

A.项目监理单位

B.项目管理的组织者

C.项目咨询单位

D.第三方认证机构

答案如下:
B
第45题、 [单选题] 工程项目管理信息系统中,属于进度控制功能的是(  )。

A.合同执行情况的查询和分析

B.编制资源需求量计划

C.根据工程进展进行投资预测

D.根据工程进展进行施工成本预测

答案如下:
B
第46题、 [单选题] 梁板类简支受弯混凝土预制构件进场时应进行(  )检验。

A.混凝土强度

B.预埋件

C.结构性能

D.灌浆强度

答案如下:
C
第48题、 [单选题] 关于招标信息发布的说法,正确的是()。

A.投资1000万的工程施工招标可以采用不公开的方式发布信息

B.招标公告只能在中国招标投标公共服务平台发布

C.自招标文件出售之日起至停止出售之日止,最短不得少于5天

D.投标人必须自费购买相关招标或资格预审文件,未中标时予以退还

答案如下:
C
第50题、 [单选题] 下列分部分项工程中,必须编制单项安全技术措施的是(  )。

A.室内隔墙砌筑

B.女儿墙钢筋绑扎

C.基坑混凝土内支撑拆除

D.地下室外墙防水施工

答案如下:
C
第52题、 [单选题] 下列事件中,承包人不能提出工期索赔的是()。

A.开工前业主未能及时交付施工图纸

B.异常恶劣的气候条件

C.业主未能及时支付工程款造成工期延误

D.因工期拖延,工程师指示承包人加快施工进度

答案如下:
D
第53题、 [单选题] 下列建设工程项目进度控制措施中,属于经济措施的是()。

A.增加进度控制的岗位和人员

B.编制资源需求计划

C.比较分析工程物资的采购模式

D.分析施工技术的先进性和经济合理性

答案如下:
B
第54题、 [单选题] 企业最高管理者按计划的时间间隔对职业健康安全管理体系进行评价,称为()。

A.初始状态评审

B.管理评审

C.内部审核

D.合规性评价

答案如下:
B
第55题、 [单选题] 关于双代号时标网络计划的说法,正确的是(  )。

A.时间坐标系方向可以垂直向上

B.节点中心必须对准相应时标位置

C.可以用水平虚箭线表示虚工作

D.时间坐标必须是日历坐标体系

答案如下:
B
第56题、 [单选题] 根据《财政部关于印发<企业产品成本核算制度>(试行)的通知》,下列工程成本费用中,属于其他直接费用的是(  )。

A.有助于工程形成的其他材料费

B.为管理工程施工所发生的费用

C.工程定位复测费

D.企业管理人员的差旅交通费

答案如下:
C
第58题、 [单选题] 根据《建设工程安全生产管理条例》,达到一定规模的危险性较大的起重吊装工程应由(  )进行现场监督。

A.施工单位技术负责人

B.总监理工程师

C.专职安全生产管理人员

D.专业监理工程师

答案如下:
C
第59题、 [单选题] 根据《建设项目总承包合同示范文本(试行)》,关于建设工程项目发包人权利和义务的说法,错误的是()。

A.负责办理项目的审批、核准或备案手续,取得项目用地的使用权

B.履行合同中约定的合同价格调整、付款、竣工结算义务

C.发包人认为有必要的时候,有权以书面形式发出暂停通知

D.发包人对因承包人原因给发包人带来的损失不能提出赔偿

答案如下:
D
第61题、 [单选题] 在应急预案体系的构成中,针对具体设施所制定的应急处置措施属于(  )。

A.综合应急预案

B.专项应急预案

C.现场处置方案

D.应急行动指南

答案如下:
C
第62题、 [单选题] 对水泥土墙支护施工过程质量进行检测试验的主要参数是(  )。

A.抗拔力

B.完整性

C.抗渗性

D.锁定力

答案如下:
B
第63题、 [单选题] 关于建设工程施工现场环境保护措施的说法,正确的是()。

A.主要道路应换土覆盖,定期洒水清扫

B.施工现场必须使用预拌混凝土

C.施工现场可以焚烧材料包装物

D.搭设专用封闭通道清运建筑物内垃圾

答案如下:
D
第64题、 [单选题] 根据《建设工程项目管理规范》,一级风险指(  )。

A.风险后果严重,可能在较大范围内造成破坏或人员伤亡

B.风险后果一般,对工程建设可能造成破坏的范围较小

C.风险后果在一定条件下可以忽略,对工程本身以及人员等不会造成较大损失

D.风险后果是灾难性的,并造成恶劣社会影响和政治影响

答案如下:
D
第65题、 [单选题] 下列成本计划中,用于确定责任总成本目标的是(  )。

A.指导性成本计划

B.竞争性成本计划

C.响应性成本计划

D.实施性成本计划

答案如下:
A
第67题、 [单选题] 下列项目质量风险中,属于管理风险的是(  )。

A.项目采用了不够成熟的新材料

B.项目组织结构不合理

C.项目场地周边发生滑坡

D.项目现场存在严重的水污染

答案如下:
B
第68题、 [单选题] 关于建设工程施工现场食堂卫生防疫要求的说法,正确的是(  )。

A.制作间灶台及周边应贴瓷砖高度不小于1.5m

B.项目管理人员定期进入现场食堂的制作间进行卫生防疫检查

C.食堂外应设置开放式泔水桶

D.炊事人员必须持岗位技能证上岗

答案如下:
A
第69题、 [单选题] 关于建设工程项目总进度目标论证工作顺序的说法,正确的是(  )。

A.先进行计划系统结构分析,后进行项目工作编码

B.先进行项目工作编码,后进行项目结构分析

C.先编制总进度计划,后编制各层进度计划

D.先进行项目结构分析,后进行资料收集

答案如下:
A
第71题、 [多选题] 某项目时标网络计划第2、4周末实际进度前锋线如下图,关于该项目进度情况的说法,正确的有()。

A.第2周末,工作C提前1周,工期提前1周

B.第2周末,工作A拖后2周,但不影响工期

C.第2周末,工作B拖后1周,但不影响工期

D.第4周末,工作D拖后1周,但不影响工期

E.第4周末,工作E提前1周,工期提前1周

答案如下:
B,C,D
第72题、 [多选题] 关于生产安全事故应急预案管理的说法,正确的有(  )。

A.生产经营单位应每半年至少组织一次现场处置方案演练

B.生产经营单位应每年至少组织一次综合应急预案演练

C.地方各级人民政府应急管理部门的应急预案应当报同级人民政府备案

D.非生产经营单位的应急管理方面的专家均可受邀参加应急方案的评审

E.施工单位应急预案设计应急响应等级内容变更的,应重新进行修订

答案如下:
A,B,C,E
第73题、 [多选题] 下列建设工程项目计划中,存在关联关系的进度计划有()

A.施工总进度计划和主体工程进度计划

B.主体钢结构施工进度计划和设备安装进度计划

C.设计进度计划和维修进度计划

D.项目月度计划和周计划

E.土建施工进度计划和主材供货进度计划

答案如下:
A,B,D,E
第74题、 [多选题] 下列施工现场噪声控制措施中,属于控制传播途径的有(  )。

A.选用吸声材料搭设防护棚

B.使用耳塞、耳罩等防护用品

C.改变震动源与其他刚性结构的连接方式

D.限制高音喇叭的使用

E.进行强噪声作业时严格控制作业时间

答案如下:
A,C
第75题、 [多选题] 建设工程索赔成立的前提条件有(  )。

A.与合同对照,事件已造成了承包人工程项目成本的额外支出或直接工期损失

B.造成费用增加或工期损失的原因,按合同约定不属于承包人的行为责任或风险责任

C.造成费用增加或工期损失额度巨大,超出了正常的承受范围

D.索赔费用计算正确,并且容易分析

E.承包人按合同规定的程序和时间提交了索赔意向通知和索赔报告

答案如下:
A,B,E
第76题、 [多选题] 建筑施工企业进行质量管理体系认证的程序包括(  )。

A.培训

B.申请和受理

C.定期监督检查

D.审核

E.审批与注册发证

答案如下:
B,D,E
第77题、 [多选题] 施工项目竞争性成本计划是(  )的估算成本计划。

A.选派项目经理阶段

B.投标阶段

C.施工准备阶段

D.签订合同阶段

E.制定企业年度计划阶段

答案如下:
B,D
第78题、 [多选题] 根据《建设工程安全生产管理条例》,施工单位应当组织专家进行专项施工方案论证的有(  )。

A.脚手架工程

B.拆除爆破工程

C.深基坑工程

D.地下暗挖工程

E.高大模板工程

答案如下:
C,D,E
第79题、 [多选题] 下列影响工程进度因素中,属于承包人可以要求合理延长工期的有()。

A.业主在工程实施中增减工程量对工期产生不利影响

B.业主在工程实施中改变工程设计对工期产生不利影响

C.因进场材料不合格而对工期产生不利影响

D.因施工操作工艺不规范而对工期产生不利影响

E.突发的极端恶劣的气候对工期产生不利影响

答案如下:
A,B,E
第80题、 [多选题] 直方图的分布形状及分布区间宽窄取决于质量特性统计数据的(  )。

A.最大值

B.最小值

C.平均值

D.标准偏差

E.离散性

答案如下:
C,D
第81题、 [多选题] 根据《建设项目工程总承包管理规范》,工程总承包方在项目管理收尾阶段的工作有(  )。

A.办理决算手续

B.办理项目资料归档

C.清理各种债权债务

D.进行项目总结

E.考核评价项目部人员

答案如下:
B,D,E
第82题、 [多选题] 下列施工质量事故发生原因中,属于技术原因的有(  )。

A.因地质勘察不细导致的桩基方案不正确

B.因计算失误导致结构设计方案不正确

C.因施工管理混乱导致违章作业

D.违反建设程序的“三边”工程

E.采用不合适的施工方法、施工工艺

答案如下:
A,B,E
第83题、 [多选题] 项目风险管理过程中,风险识别工作包括(  )。

A.分析风险因素发生的概率

B.确定风险因素

C.编制项目风险识别报告

D.分析各风险的损失量

E.收集与项目风险有关的信息

答案如下:
B,C,E
第84题、 [多选题] 关于施工项目安全技术交底的说法,正确的有(  )

A.施工项目必须实行逐级安全技术交底

B.交底内容应针对潜在危险因素和存在问题

C.涉及“四新“项目,必须经过两阶段技术交底

D.定期向多工种交叉施工的作业队做口头技术交底

E.交底时应将施工程序向班组长进行详细交底

答案如下:
A,B,C,E
第85题、 [多选题] 混凝土预制构件吊运时需考虑的质量控制措施包括()。

A.选择符合环保要求的吊装机械设备

B.按照构件尺寸、重量选择吊具

C.编制专项方案并组织专家评审

D.计算确定构件的吊点数量、位置

E.控制吊索水平夹角不应小于45度

答案如下:
A,B,D,E
第86题、 [多选题] 下列建设工程项目进度控制措施中,属于技术措施的有(  )

A.分析装配式混凝土结构和现浇混凝土结构对施工进度的影响

B.采用网络计划技术优化工程施工工期

C.分析无粘结预应力混凝土结构的技术风险

D.通过比较钢网架高空散装法和高空滑移法的优缺点选择施工方案

E.通过变更落地钢管脚手架为外爬式脚手架缩短工期

答案如下:
A,D,E
第87题、 [多选题] 下列建设工程项目施工生产费用中,属于直接成本的有(  )

A.支付给生产工人的奖金

B.周转材料租赁费

C.管理人员的办公费

D.管理人员的差旅交通费

E.施工机具使用费

答案如下:
A,B,E
第88题、 [多选题] 关于施工现场文明施工措施的说法,正确的有()

A.利用现场施工道路堆放砌块材料

B.材料库房内配备保管员住宿用的单人床

C.闹市区施工现场设置2.5m高的围挡

D.施工作业区内禁止随意吸烟

E.在总配电室设置灭火器和消防沙箱

答案如下:
C,D,E
第89题、 [多选题] 对业主而言,成本加酬金合同的优点有(  )

A.可以通过分段施工缩短工期

B.适用于技术简单、结构方案容易确定的工程

C.适用于时间紧迫的抢险救灾工程

D.根据自身力量和需要,深入介入控制工程施工和管理

E.通过确定最大保证价格约束工程成本

答案如下:
A,D,E
第90题、 [多选题] 下列施工机械使用费控制措施中,属于控制台班数量的有(  )。

A.加强施工机械设备内部调配

B.加强机械设备配件管理

C.加强设备租赁计划管理

D.提高机械设备利用率

E.按油料消耗定额控制油料消耗

答案如下:
A,C,D
第91题、 [多选题] 下列工程施工变更情形中,由业主承担责任的有(  )。

A.不可抗力导致的设计修改

B.环境变化导致的设计修改

C.原设计失误导致的设计修改

D.政府部门要求导致的设计修改

E.施工方案出现错误导致的设计修改

答案如下:
A,B,C,D
第92题、 [多选题] 关于正式投标及投标文件的说法,正确的有(  )。

A.标书密封不满足要求,经甲方同意投标是有效的

B.项目经理部组织投标时不需要企业法人对于投标项目经理的授权书

C.通常情况下投标不需要提交投标担保

D.在招标文件要求提交的截止时间后送达的投标文件,招标人可以拒收

E.标书提交的基本要求是签章、密封

答案如下:
D,E
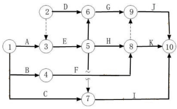
第93题、 [多选题] 某双代号网络计划如下图,关于工作时间参数的说法,正确的有()

A.工作B的最迟完成时间是第8天

B.工作C的最迟开始时间是第7天

C.工作F的自由时差是1天

D.工作G的总时差是2天

E.工作H的最早开始时间是第13天

答案如下:
A,D
第94题、 [多选题] 在招标文件中要求中标人提交履约担保的形式有(  )

A.房屋抵押权证

B.保证金

C.由保险公司开具的履约担保书

D.有价证券

E.商业银行开具的担保函

答案如下:
B,C,E
第95题、 [多选题] 关于工程项目成本核算的说法,正确的有()。

A.成本核算应坚持形象进度、产值统计、成本分析同步的原则

B.工程成本核算是企业会计核算的重要组成部分

C.工程项目内各岗位成本责任核算一般采用业务核算法

D.会计核算法人为控制因素较多、精度不高

E.施工单位应在项目部设成本会计进行成本核算

答案如下:
A,B,E
第96题、 [多选题] 下列成本分析工作中,属于综合成本分析的有(  )。

A.年度成本分析

B.工期成本分析

C.资金成本分析

D.月度成本分析

E.分部分项工程成本分析

答案如下:
A,D,E
第98题、 [多选题] 下列工作流程组织中,属于管理工作流程组织的有(  )

A.基坑开挖施工流程

B.设计变更工作流程

C.投资控制工作流程

D.房屋装修施工流程

E.装配式构件深化设计流程

答案如下:
B,C
第99题、 [多选题] 关于建设工程项目总进度目标论证的说法,正确的有()。

A.总进度目标的论证涉及工程实施条件分析

B.总进度目标的论证是项目决策阶段的策划工作

C.总进度目标的论证应分析实施阶段各项工作之间的逻辑关系

D.论证前宜收集类似项目的进度资料

E.分析论证总进度目标实现的可能性应在项目实施过程中进行

答案如下:
A,C,D
第100题、 [多选题] 下列双代号网络图中,存在的绘图错误有(  )

A.存在多个起点节点

B.箭线交叉的方式错误

C.存在相同节点编号的工作

D.存在没有箭尾节点的箭线

E.存在多余的虚工作

答案如下:
A,B,E