搜索
才径谷 >建筑工程类 >岩土工程师 >试题列表
设A,B,C是三个事件,则AB+BC+CA表示().
A.三个事件中恰有两个事件发生
B.三个事件中至多有两个事件发生
C.三个事件中至少有两个事件发生
D.三个事件全发生
查看答案
答案如下:
C
若某地区基本烈度为7度,则相应大震烈度为(  )。
A.7.5度
B.8度
C.8.5度
D.9度
查看答案
答案如下:
C解析:许多城市50年、超越概率1%~5%时所对应的烈度值,如以超越概率2%为标准,则罕遇地震(地震)烈度Ir比基本烈度的增值分别为(对应于9~7度区)0.5、1.0、1.5度。89规范粗略地取用1度。
在密实砂土地基中进行地下连续墙的开槽施工,地下水位与地面齐平,砂土的饱和重度Ymat=20.2kN/m3,内摩擦角Φ=38°,黏聚力c=0,采用水下泥浆护壁施工,槽内的泥浆与地面齐平,形成一层不透水的泥皮,为了使泥浆压力能平衡地基砂土的主动土压力,使槽壁得持稳定,泥浆相对密度至少应达到下列哪个选项中的值?()
A.1.24B.1.35
C.1.45D.1.56
查看答案
答案如下:
A
细绳跨过不计轴承摩擦的不计质量的滑轮,两端悬垂,一只猴沿绳的一端向上爬动。另一端系一法码,与猴同重。开始时系统静止,问法码将如何运动()。
A、法码向上运动,且与猴同速
B、法码向下运动,且与猴同速
C、法码不动
D、法码向上,但不与猴同速
查看答案
答案如下:
A解析:系统初始动量矩为零(静止),该系统对轴心的动量矩守恒,因此任何时刻系统的动量矩都为零
根据《建筑抗震设计规范》(GB50011—2001),对承受竖向荷载为主的低承台桩基,当地面下无液化土层,且桩承台周围无淤泥、淤泥质土和地基承载力特征值不大于100kPa的填土时,下列建筑可不进行桩基抗震承载力验算的是()。
A.砌体房屋
B.《建筑抗震设计规范》规定可不进行上部结构抗震验算的建筑
C.7度和8度时一般的单层厂房和单层空旷房屋
D.7度和8度时不超过8层且高度在25m以下的一般民用框架房屋
查看答案
答案如下:
A,B,C,D
地基处理的目的不包括下列哪一项?
A.提高土的抗剪强度B.改善土的工程性质
C.降低土的压缩性D.降低土的透水性能
查看答案
答案如下:
D解析:提示:地基处理的目的主要是为了改善地基土的工程性质,它包括改善地基土的变形和渗透性,提高土的抗剪强度和抗液化能力。
关于湿陷性黄土勘探点的深度,下列说法正确的是()。
A.应根据湿陷性黄土层的厚度和预估的压缩层深度确定
B.宜大于10m
C.宜8~15m
D.按地下水位确定
查看答案
答案如下:
A,B解析:勘探点按地下水位确定仅可控制湿陷性土层的厚度,而8~15m深度仅适用于一般工程。根据《湿陷性黄土地区建筑规范》(GB50025-2004)第4.2.4条,勘探点深度按压缩层深度确定,宜大于10m。
某高层建筑采用钻孔桩基础,场地处于珠江三角洲滨海滩涂地区,场地地面相对标离±0.0m,主要地层为;①填土层厚4.0m;②淤泥层厚6.0m;③冲洪积粉土,砂土、粉质黏土等,层厚10.0m;④花岗岩风化残积土,基坑深29.0,基坑支护采用排桩加4排预应力锚索进行支护,综合考虑相关条件,下列关于基础桩施工时机的选项中哪项最适宜?
(A)基坑开挖前,在现地面施工
(B)基坑开挖到底后,在坑底施工
(C)基坑开挖到-28.0m(相对标高)深处时施工
(D)基坑开挖到-28.0m(相对标高)深处时施工
查看答案
答案如下:
C
根据《建筑地基基础设计规范》(GB50007—2011),采用地基承载力理论公式确定地基承载力特征值时,以下设计验算正确的选项是哪一个(  )
A.理论公式适用于轴心受压和偏心距大于b/6的受压基础的地基承载力计算
B.按理论公式计算并进行地基承载力验算后,无需进行地基变形验算
C.按理论公式计算地基承载力特征值时,对于黏性土地基,基础底面宽度b<3m时按3m取值
D.按理论公式计算的地基承载力特征值,不再根据基础埋深和宽度进行修正
查看答案
答案如下:
D解析:AC两项错误,根据《建筑地基基础设计规范》(GB50007—2011)第5.2.5条规定,当偏心距e小于或等于0.033倍基础底面宽度时,地基承载力理论公式不再适用。对于黏性土地基,基础宽度地基承载力修正系数为0。
B项错误,第5.3.1条规定,建筑物的地基变形计算值,不应大于地基变形允许值。地基承载力验算后,需进行地基变形验算。
D项正确,按照理论公式,代入计算的基础埋深与基础宽度均为实际值,而非人为假定的b=3m、d=0.5m的情形,计算出来的指标即为fa,无需进行重复修正。
若在勘察设计中发现某路基附近有溶洞发育,以测定溶洞顶板岩层厚10m,表土层厚4.0m,当路基边缘至溶洞边缘距离不小于()m时,该溶洞可不实施处理措施。(注:岩石内摩擦角取40°,安全系数取1.2)
A.7.5B.8.5C.9.5D.10.5
查看答案
答案如下:
A解析:
关于建筑抗震场地剪切波速的表述,下列说法哪些符合《建筑抗震设计规范》的规定?()
A.场地土等效剪切波速的计算深度取值与地基基础方案无关
B.计算等效剪切波速时,对剪切波速大于500m/s的土层,剪切波速取500m/s
C.在任何情况下,等效剪切波速计算深度不大于20m
D.场地土等效剪切波速的计算和场地覆盖层厚度无关
查看答案
答案如下:
A,C解析:参见《建筑抗震设计规范》(GB50011—2010)第4.1.4?4.1.5条规定。
下列地貌特征中,初步判断哪些属于稳定的滑坡地貌特征?(  )
A、坡体后壁较高,长满草木
B、坡体前缘较陡,受河水侧蚀常有坍塌发生
C、坡体平台面积不大,有后倾现象
D、坡体前缘较缓,两侧河谷下切到基岩
查看答案
答案如下:
A,D解析:根据《岩土工程师手册》第1332页对滑坡的稳定性评价规定。
表 滑坡的稳定性评价
在进行浅层平板载荷试验中,下述情况中不能锻为试验停止条件之一的是下列哪一项()
A.本级荷载的沉降量大于前级荷载沉降量的5倍,P—S曲线出现明显的陡降B.承压板周边的土出现明显的侧向挤出,周边岩土出现明显隆起,或径向裂隙持续发展
C.在某级荷载作用24小时,沉降速率不能达到相对稳定标准
D.总沉降量与承压板宽度(或直径)之比达到0.015
查看答案
答案如下:
D解析:D《建筑地基规范》附录C.0.5规定,出现如下情况之一时可终止加载:承压板周围的土明显地侧向挤出;沉降s急骤增大,p-s曲线出现陡降段;在某一级荷载下,24小时内的沉降速率不能达到稳定;沉降量与承压板宽度或直径之比大于或等于0.06。
关于在岩溶地区修筑土石坝,下列说法正确的是()。
A.大面积溶蚀但未形成溶洞的可做铺盖防渗
B.对深层有溶洞的坝基可不必进行处理
C.浅层的溶洞宜挖除或只挖除洞内的破碎岩石和充填物,用浆砌石或混凝土堵塞
D.对深层的溶洞可采用灌浆方法处理或用混凝土防渗墙处理
查看答案
答案如下:
A,C,D解析:根据《碾压式土石坝设计规范》(SL274—2001)第6.3.2条,在卡斯特地区筑坝吗,应根据岩溶发育情况、充填物质性、水文地质条件、水头大小、覆盖层厚度和防渗要求等研究处理方案。可选择以下方法处理:①大面积溶蚀未形成溶洞的可做铺盖防渗;②浅层的溶洞宜挖除和只挖除洞内的破碎岩石和充填物,用浆砌石或混凝土堵塞;③深层的溶洞,可用灌浆法处理,或做混凝土防渗墙;④防渗透下游宜做排水设施;⑤库岸边处可做防渗措施隔离;⑥采用以上数项措施综合处理。
下列发生岩爆的相关因素中,()是必须具备的决定性条件。
A.岩性完整
B.高围岩应力
C.洞室埋深
D.开挖断面形状不规则
查看答案
答案如下:
A,B解析:完整坚硬的岩性和较高的围岩应力是产生岩爆的必备条件。
某中砂换填垫层的性质参数为天然孔隙比e0=0.7,最大干密度ρdmax=1.8g/cm3,现场检测的控制干密度ρd=1.7g/cm3,试问该换填垫层的压实系数λc约等于下列()选项的值。
A.0.94B.0.89C.0.85D.0.80
查看答案
答案如下:
A解析:根据《建筑地基处理技术规范》(JGJ79—2002)第4.2.6条,λc=ρd/ρdmax=1.7/1.8=0.94。
设计特征周期反映的是()。
A.地震震级B.震中距C.场地类别D.建筑物的类型
查看答案
答案如下:
A,B,C解析:《建筑抗震设计规范》(GB50011—2010)第2.1.7条规定,设计特征周期是在抗震设计用的地震影响系数曲线中,反映地震震级、震中距和场地类别等因素的下降段起始点对应的周期值。
一般情况下,在滑坡形成过程中最早出现的是下列哪种变形裂缝?(  )
A、前缘的鼓胀裂缝
B、后缘的拉张裂缝
C、两侧的剪切裂缝
D、中前部的扇形裂缝
查看答案
答案如下:
B解析:滑坡将要滑动的时候,由于拉力的作用,在滑坡体后缘产生张拉裂缝,故张拉裂缝的出现是产生滑坡的前兆。
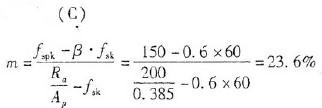
某小区地基釆用深层揽拌桩复合地基进行加固,已卸桩截面积Ap=0.385m2,单桩承载力特征值Ra=200kN,桩间土承载力特征值fsk=60kPa,桩间土承载力折减系数β=0.6,要求复合地基承载力特征值=150kPa,问水泥土搅拌桩置换率m的设计值最接近下列何值?
(A)15%(B)20%(C)24%(D)30%
查看答案
答案如下:
C解析:
桩长在11~25m的预制钢筋混凝土桩起吊和堆放支点的位置根据()确定。
A.施工方便B.桩的正负弯距相等
C.反力相等D.桩身承受剪力较大
查看答案
答案如下:
B解析:桩长在11~25m的预制钢筋混凝土桩起吊和堆放支点的位置根据桩的正负弯距相等确定,是为了防止桩在起吊过程中受到弯矩的作用。