搜索
才径谷 >建筑造价 >监理工程师 >2021年监理工程师《建设工程目标控制(土建)》密押卷

2021年监理工程师《建设工程目标控制(土建)》密押卷试卷及答案大全

永久免费查看
更新时间:2026-04-12

2021年监理工程师《建设工程目标控制(土建)》密押卷提供该考试科目的试卷全部试题及答案大全,科目内容齐全,答案供学员学习免费使用,助力考试通关!

第3题、 [单选题] 监理工程师在工程质量控制中,体现以数据资料为依据,客观地处理质量问题的原则为(  )。

A.坚持质量标准原则

B.坚持科学、公平、守法的职业道德规范

C.质量第一的原则

D.预防为主的原则

答案如下:
B
第4题、 [单选题] 工程质量控制按实施主体不同分为自控主体和监控主体,下列属于监控主体的是()。

A.设计单位

B.施工单位

C.监理单位

D.勘察单位

答案如下:
C
第5题、 [单选题] 建设单位办理工程竣工验收备案应当提交的资料不包括()

A.工程竣工验收备案表

B.工程竣工验收报告

C.施工单位签署的工程质量保修书

D.竣工图

答案如下:
D
第10题、 [单选题] 将直方图与质量标准比较,质量分布中心与质量标准中心重合,实际数据分布与质量标准相比较两边还有一定余地,说明(  )。

A.生产过程处于正常稳定状态

B.质量要求过高,不经济

C.已出现不合格品

D.过程能力不足

答案如下:
A
第11题、 [单选题] 根据概率数理统计,计点值数据服从(  )。

A.正态分布

B.二项分布

C.线性分布

D.泊松分布

答案如下:
D
第12题、 [单选题] 在排列图中,右侧纵坐标表示(  )。

A.频数

B.件数

C.累计频率

D.累计件数

答案如下:
C
第13题、 [单选题] 极差的作用是(  )。

A.用数据变动的幅度来反映其分散状况的特征值

B.反映数据变异程度的特征性

C.表示数据的相对离散波动程度

D.表示数据的代表性

答案如下:
A
第15题、 [单选题] 在混凝土结构实体检测中,现浇混凝土板厚度检测方法为(  )。

A.回弹仪

B.超声回弹综合法

C.取芯法

D.超声波对测法

答案如下:
D
第16题、 [单选题] 项目监理机构对勘察成果的审查是勘察阶段质量控制最重要的工作,(  )属于程序性审查。

A.勘察场地的工程地质条件

B.岩土工程问题

C.对工程勘察报告的内容和深度进行检查

D.工程勘察成果的齐全、可靠

答案如下:
D
第17题、 [单选题] 监理机构审查设计单位提交的设计成果,并提出评估报告,评估报告内容不包括(  )。

A.设计工作概况

B.存在的问题及建议

C.技术参数是否先进合理

D.有关部门审查意见的落实情况

答案如下:
C
第18题、 [单选题] 工程初步设计质量管理服务的主要工作内容不包括下列(  )。

A.设计单位的选择

B.起草设计任务书

C.起草设计合同

D.起草投资方案

答案如下:
D
第19题、 [单选题] ()是初步设计的补充和深化,一般不再进行报批,由建设单位直接组织审查、审批。

A.方案设计

B.规划设计

C.技术设计

D.施工图设计

答案如下:
C
第20题、 [单选题] 在现场施工准备的质量控制中,()应检查、复核施工单位测量人员的资格证书和测量设备检定证书。

A.总监理工程师

B.监理单位技术负责人

C.专业监理工程师

D.监理员

答案如下:
C
第22题、 [单选题] 关于总监理工程师组织监理人员熟悉工程设计文件的目的的说法,错误的是(  )。

A.通过熟悉工程设计文件,了解设计意图和工程设计特点

B.通过熟悉工程设计文件,了解工程关键部位的质量要求

C.发现图纸差错

D.改正图纸差错

答案如下:
D
第23题、 [单选题] 施工过程中,若出现需返工弥补的工程质量问题,监理工程师应及时(  )。

A.签发监理通知单

B.签发工程暂停令

C.通知建设单位

D.报告政府主管部门

答案如下:
A
第24题、 [单选题] 工程复工时,()应及时签署审批意见,并报建设单位批准后签发工程复工令,施工单位接到工程复工令后应组织复工。

A.总监理工程师

B.建设行政主管部门

C.专业监理工程师

D.甲方代表 

答案如下:
A
第26题、 [单选题] 根据生产连续性和生产控制稳定性等情况,检验批抽样方案可采用()

A.多次抽样

B.计数抽样

C.全数检验

D.调整型抽样

答案如下:
D
第27题、 [单选题] 工程保修阶段监理单位应完成的工作不包括下列(  )。

A.定期回访

B.协调联系

C.界定责任

D.实施维修

答案如下:
D
第28题、 [单选题] 在进行质量问题成因分析中,首先要做的工作是(  )。

A.收集有关资料

B.现场调查研究

C.进行必要的计算

D.分析、比较可能的因素

答案如下:
B
第30题、 [单选题] 某工程发生质量事故,造成15人死亡,150人重伤,此次质量事故属于(  )。

A.特别重大事故

B.重大事故

C.较大事故

D.一般事故

答案如下:
A
第31题、 [单选题] 选择一个合格的供货厂商,是向生产厂家订购设备质量控制工作的首要环节。为此,设备订购前应做好(  )。

A.厂商的初选入围与实地考察

B.确定供货厂商与实地考察

C.厂商的初选入围与确定采购总价

D.确定供货厂商与确定采购总价

答案如下:
A
第32题、 [单选题] (  )是控制概算定额(指标)的水平。

A.预算定额

B.估算指标

C.计划定额

D.计算定额

答案如下:
B
第36题、 [单选题] 在投资控制的若干措施中,最为有效的是(  )。

A.科学确定投资控制目标

B.以决策和设计阶段为重点

C.实行建设全过程的投资控制

D.技术与经济相结合

答案如下:
D
第39题、 [单选题] 工料测量师在工程建设中的主要任务就是对(  )进行全面系统的控制。

A.项目投资

B.项目设计

C.项目决策

D.项目施工

答案如下:
A
第40题、 [单选题] 专业监理工程师对施工单位在工程款支付报审表中提交的工程量和支付金额进行复核,确定实际完成的工程量,体现了施工阶段投资控制中(  )的主要工作。

A.进行工程计量和付款签证

B.对完成工程量进行偏差分析

C.审核竣工结算款

D.处理施工单位提出的工程变更费用

答案如下:
A
第41题、 [单选题] 按照费用构成要素划分的建筑安装工程费用项目组成中,人工费不包括(  )。

A.计时工资

B.奖金

C.加班工资

D.管理人员工资

答案如下:
D
第43题、 [单选题] 采用装运港船上交货价(FOB)进口设备时,卖方的责任是(  )。

A.承担货物装船后的一切费用和风险

B.支付运费

C.负责提供有关装运单据

D.负责办理保险及支付保险费

答案如下:
C
第45题、 [单选题] 根据设计要求,在施工过程中需对某新型钢筋混凝土屋架进行一次破坏性试验,以验证设计的正确性,此项试验费应由(  )支付。

A.设计单位

B.建设单位的研究试验费

C.施工单位的检验试验费

D.施工单位的材料费

答案如下:
B
第47题、 [单选题] 企业通过发行债券进行筹资的优点(  )。

A.降低企业总资金成本

B.发挥财务杠杆作用

C.提升企业经营灵活性

D.减少企业务风险

答案如下:
B
第48题、 [单选题] 政府投资的项目,()是政府投资主管部门审批决策的依据。

A.项目建议书

B.可行性研究

C.初步设计文件

D.基础设计

答案如下:
B
第52题、 [单选题] 采用分项详细估算法进行流动资金估算时,应计入流动负债的是()。

A.预收账款

B.存货

C.库存资金

D.应收账款

答案如下:
A
第53题、 [单选题] 投资收益率的不足之处是()。

A.不能反映投资效果的优劣

B.只适用大规模投资

C.没有考虑投资收益的时间因素

D.经济意义明确、直观

答案如下:
C
第56题、 [单选题] 编制建筑单位工程概算一般有()、概算指标法两种。

A.扩大单价法

B.施工图预算法

C.单价法

D.实物量法

答案如下:
A
第58题、 [单选题] 工程量清单的十二位项目编码中,五至六位表示()。

A.专业工程码

B.分类顺序吗

C.分部工程顺序码

D.清单项目名称顺序码

答案如下:
C
第59题、 [单选题] 根据《建设工程工程量清单计价规范》(GB50500--2013),工程量清单应由(  )编制。

A.招投标管理部门认可的代理机构

B.具有相应资质的工程造价咨询人

C.项目管理公司合同管理机构

D.具有招标代理资质的中介机构

答案如下:
B
第60题、 [单选题] 某高层建筑住宅楼工程的施工图设计已经完成,且计划工期为24个月,其应采用(  )合同。

A.固定总价

B.可调总价

C.估计工程量单价

D.可调单价

答案如下:
B
第65题、 [单选题] 下列关于索赔费用的计算方法正确的是(  )。

A.总费用法是施工索赔时最常用的一种方法

B.总成本法是当发生多次索赔事件以后,重新计算该工程的实际总费用

C.修正的总费用法是当发生多次索赔事件以后,重新计算该工程的实际总费用

D.修正总费用法计算索赔款的时段是整个施工期

答案如下:
B
第66题、 [单选题] 根据《标准施工招标文件》,施工过程中发现文物、古迹,则停工期间承包商可索赔(  )。

A.工期,费用和利润

B.工期和费用,不能索赔利润

C.工期,不能索赔费用和利润

D.费用,不能索赔工期和利润

答案如下:
B
第68题、 [单选题] 下列建设工程进度控制措施中,属于合同措施的是(  )。

A.建立进度协调会议制度

B.编制进度控制工作细则

C.对应急赶工给予优厚的赶工费

D.推行CM承发包模式

答案如下:
D
第69题、 [单选题] 下列建设工程进度影响因素中,属于业主因素的是(  )。

A.地下埋藏文物的保护、处理

B.合同签订时遗漏条款、表达失当

C.施工场地条件不能及时提供

D.特殊材料及新材料的不合理使用

答案如下:
C
第70题、 [单选题] 建设工程施工组织方式中,平行施工方式具有的特点是(  )。

A.各工作队实现了专业化施工

B.施工现场的组织管理比较复杂

C.没有充分利用工作面进行施工

D.单位时间内投入的资源量较为均衡

答案如下:
B
第73题、 [单选题] 在双代号网络计划中,下列说法正确的是(  )。

A.两端为关键节点的工作一定是关键工作

B.关键节点的最早时间与最迟时间有可能相等

C.关键工作两端的节点不一定是关键节点

D.由关键节点组成的线路一定是关键线路

答案如下:
B
第77题、 [单选题] 工程网络计划资源优化的目的之一是为了寻求(  )。

A.工程总成本最低条件下的资源均衡安排

B.资源均衡使用条件下的最短工期安排

C.资源使用最少条件下的合理工期安排

D.资源有限条件下的最短工期安排

答案如下:
D
第78题、 [单选题] 在某工程网络计划中,已知工作M没有自由时差,但总时差为5天,监理工程师检查实际进度时发现该工作的持续时间延长了4天,说明此时工作M的实际进度(  )。

A.既不影响总工期,也不影响其后续工作的正常进行

B.不影响总工期,但将其后续工作的最早开始时间推迟4天

C.将使总工期延长4天,但不影响其后续工作的正常进行

D.将其后续工作的开始时间推迟4天,并使总工期延长1天

答案如下:
B
第80题、 [单选题] 为减少或避免出现工程延期,项目监理机构应做好的工作之一是()。

A.定期组织召开施工技术专题会议

B.提醒业主履行施工承包合同中所规定的职责

C.定期核查施工单位材料进场情况

D.针对施工质量安全隐患及时发出监理通知单

答案如下:
B
第81题、 [多选题] 在施工中,施工单位必须按照(  ),对建筑材料、构配件、设备和商品混凝土进行检验。

A.工程设计要求

B.总承包单位的要求

C.合同约定

D.初步设计文件

E.施工技术标准

答案如下:
A,C,E
第82题、 [多选题] 为了确保质量目标的实现,ISO质量管理体系明确规定的原则有(  )。

A.以顾客为关注焦点

B.领导作用

C.全员参与

D.关系管理

E.稳定发展

答案如下:
A,B,C,D
第83题、 [多选题] 预应力混凝土用螺纹钢筋,每批钢筋均应按规定进行化学成分、(  )等项目的检验。

A.拉伸试验

B.松弛试验

C.疲劳试验

D.抗压试验

E.表面检查

答案如下:
A,B,C,E
第84题、 [多选题] 建筑与人防专业建设项目,设计阶段一般分为(  )。

A.方案设计

B.初步设计

C.施工图设计

D.技术设计

E.总体设计

答案如下:
A,B,C
第85题、 [多选题] 施工图审查机构对施工图设计文件审查的内容有(  )。

A.是否符合工程建设强制性标准

B.是否符合民用建筑节能强制标准

C.消防安全性

D.勘察设计企业和注册执业人员以及相关人员是否按规定在施工图上加盖相应的图章和签字

E.审查设计单位的资质

答案如下:
A,B,C,D
第86题、 [多选题] 进口材料、构配件和设备,专业监理工程师应要求施工单位报送进口商检证明文件,并会同(  )等相关单位进行联合检查验收。

A.建设单位   

B.施工单位

C.质量监督机构 

D.国家商检部门

E.供货单位

答案如下:
A,B,E
第87题、 [多选题] 承包单位向项目监理机构报送的分包单位资格报审查表中应附有分包单位的()。

A.分包单位资质材料

B.分包单位业绩材料

C.营业执照和经营范围

D.资质和分包合同

E.项目经理职责和施工计划

答案如下:
A,B
第88题、 [多选题] 旁站监理人员的主要职责包括(  )。

A.做好旁站记录,保存旁站原始资料

B.检查施工机械、建筑材料准备情况

C.检查施工单位现场质检人员到岗、特殊工种人员持证上岗情况

D.现场监督关键部位、关键工序的施工执行施工方案情况

E.查验施工单位的施工测量定位放线情况

答案如下:
A,B,C,D
第89题、 [多选题] 根据《建筑工程施工质量验收统一标准》,下列分项工程可划分为一个检验批的有()。

A.单层建筑的分项工程

B.工程量较少的分项工程

C.屋面工程的分项工程

D.地基与基础的分项工程

E.室外工程

答案如下:
B,D,E
第90题、 [多选题] 质量控制资料的完整性是检验批质量合格的前提,这是因为它反映了检验批从原材料到验收的各施工工序的(  )。

A.施工操作依据

B.保证工程质量所必需的管理制度

C.过程控制

D.检查情况

E.质量特性指标

答案如下:
A,B,D
第91题、 [多选题] 地基与基础分部工程的验收,应由总监理工程师组织(  )参与进行。

A.勘察单位项目负责人 

B.设计单位项目负责人 

C.施工单位技术、质量负责人 

D.质量监督部门负责人 

E.材料供应单位负责人 

答案如下:
A,B,C
第92题、 [多选题] 常见质量缺陷的成因,属于施工与管理不到位的是()

A.荷载取值过小,内力分析有误

B.将铰接做成刚接,将简支梁做成连续梁,导致结构破坏

C.图纸未经会审,仓促施工

D.技术交底不清,违章作业

E.施工方案考虑不周,施工顺序颠倒

答案如下:
B,C,D,E
第93题、 [多选题] 对已发生的工程质量缺陷,项目监理机构应进行的处理程序包括(  )。

A.发生工程质量缺陷,工程监理单位安排监理人员进行检查和记录,并签发监理通知单,责成施工单位进行修复处理

B.施工单位进行质量缺陷调查,分析质量缺陷产生的原因,并提出经设计等相关单位认可的处理方案

C.围绕原点对现场各种现象和特征进行分析

D.工程监理单位审查施工单位报送的质量缺陷处理方案,并签署意见

E.对处理记录整理归档

答案如下:
A,B,D,E
第94题、 [多选题] 关于市场采购设备质量控制的说法,正确的有(  )。

A.负责设备采购质量控制的监理人员应熟悉和掌握设计文件中设备的各项要求、技术说明和规范标准

B.应了解和把握总承包单位或设备安装单位负责设备采购人员的技术能力情况

C.总承包单位或安装单位负责采购的设备,采购前应向项目监理机构提交设备采购方案,按程序审查同意后方可实施

D.设备由建设单位直接采购的,由项目监理机构编制设备采购方案

E.设备采购方案最终应获得监理单位的批准

答案如下:
A,B,C
第95题、 [多选题] 以下内容属于设备采购原则的有()

A.根据设计原则,对需采购的设备编制拟采购设备表

B.供货商的各种检验检测手段及实验室资质符合有关规定

C.所采购设备质量可靠,满足设计文件所确定的各项技术要求

D.所采购设备和配件价格合理,技术先进

E.维修和保养能得到充分保障

答案如下:
C,D,E
第96题、 [多选题] 建设投资的组成包括(  )。

A.设备及工器具购置费

B.建筑安装工程费

C.工程建设其他费用

D.建设期利息

E.无形资产

答案如下:
A,B,C
第97题、 [多选题] 下列各项中属于建筑工程费的有(  )。

A.建设工程涉及范围内的建筑物费用

B.建设工程涉及范围内的供水等各种管道的费用

C.建设工程涉及范围内的构筑物费用

D.建设工程涉及范围内的场地平整费用

E.建设工程涉及范围内的大型土石方工程费用

答案如下:
A,C,D,E
第98题、 [多选题] 世界银行、国际咨询工程师联合会对项目的总建设成本规定中的应急费用包括(  )。

A.明确项目的准备金

B.未明确项目的准备金

C.可预见准备金

D.不可预见准备金

E.建设成本上升费用

答案如下:
B,D
第99题、 [多选题] 按照造价形成划分的建筑安装工程费用项目组成,建筑安装工程费用中的措施费包括(  )。

A.建筑材料一般鉴定检查费

B.施工机械经常修理费

C.临时设施费

D.环境保护费

E.工程定位复测费

答案如下:
C,D,E
第100题、 [多选题] 国产非标准设备原价的计算方法有(  )。

A.成本计算估价法

B.系列设备插入估价法

C.定额估价法

D.生产费用估价法

E.分部组合估价法

答案如下:
A,B,C,E
第101题、 [多选题] 下列建设项目财务评价指标中,属于动态分析指标的有(  )。

A.内部收益率

B.净现值

C.总投资收益率

D.资本金净利润率

E.净现值率

答案如下:
A,B,E
第102题、 [多选题] 单项工程综合概算中,设备及安装工程概算包括()。

A.通风工程概算

B.机械设备及安装工程概算

C.电气设备及安装工程概算

D.器具、工具及生产家具购置费概算

E.电气照明工程概算

答案如下:
B,C,D
第103题、 [多选题] 根据《建设工程工程量清单计价规范》(GB50500--2013)的规定,下列选项属于综合单价内容的是()

A.人工费

B.材料费

C.税金

D.企业管理费与利润

E.施工机具使用费

答案如下:
A,B,D,E
第104题、 [多选题] 在施工阶段监理工程师编制资金使用计划的主要形式有(  )。

A.按子项目分解编制的资金使用计划

B.按业主要求编制的资金使用计划

C.按时间进度分解编制的资金使用计划

D.按资金到位情况编制的资金使用计划

E.按投资构成分解编制的资金使用计划

答案如下:
A,C,E
第105题、 [多选题] 一般可按照凭据法进行计量的有(  )。

A.建筑工程险保险费

B.保养测量设备的费用

C.保养气象记录设备的费用

D.维护工地清洁和整洁

E.第三方责任险保险费

答案如下:
A,E
第106题、 [多选题] 由于承包人的原因造成工期延误,发包人进行反索赔,在确定违约金费率时,一般应考虑(  )因素。

A.发包人盈利损失

B.由于工期延长造成的贷款利息增加

C.由于工期延长带来的附加监理费

D.由于工期延长增加的保险费开支

E.由于工程拖期不能使用,继续租用原建筑物或租用其他建筑物的租赁费

答案如下:
A,B,C,E
第107题、 [多选题] 关于预付款的说法中,正确的有(  )。

A.预付款是施工准备和所需要材料、结构件等流动资金的主要来源

B.发包人在签发预付款支付证书后的14d内向承包人支付预付款

C.发包人拨付给承包人的工程预付款属于预支的性质

D.对重大工程项目,按年度工程计划逐年预付

E.发包人应在预付款扣完后的7d内将预付款保函退还给承包人

答案如下:
A,C,D
第108题、 [多选题] 控制工程建设进度中,在施工阶段进度控制的任务包括(  )。

A.编制施工总进度计划,并控制其执行

B.编制详细的出图计划,并控制其执行

C.编制工程项目总进度计划

D.施工现场条件的调查和分析

E.编制单位工程施工进度计划,并控制其执行

答案如下:
A,E
第109题、 [多选题] 在项目实施阶段,项目总进度包括()。

A.设计前准备阶段的工作进度

B.设计工作进度

C.投标工作进度

D.施工前准备工作进度

E.工程施工和设备安装进度 

答案如下:
A,B,D,E
第110题、 [多选题] 年度竣工投产交付使用计划表将阐明各单位工程的(  )等建筑总规模及本年计划完成情况,并阐明其竣工日期。

A.建筑面积

B.建设条件

C.投资额

D.新增生产能力

E.新增固定资产

答案如下:
A,C,D,E
第111题、 [多选题] 以下属于流水施工作业中工艺参数的有(  )。

A.施工过程

B.工作面

C.流水节拍

D.流水强度

E.施工段

答案如下:
A,D
第112题、 [多选题] 下列选项中,反映建设工程非节奏流水施工时特点的有()。

A.各专业工作队不能在施工段上连续作业

B.各施工过程在各施工段的流水节拍不全相等

C.相邻专业工作队的流水步距不尽相等

D.专业工作队数小于施工过程数

E.有些施工段之间可能有空闲时间

答案如下:
B,C,E
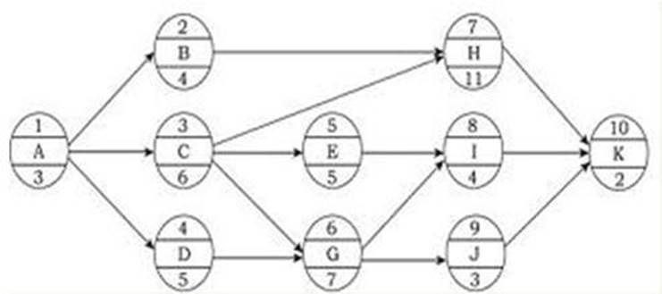
第113题、 [多选题] 根据下表给定的工作间逻辑关系绘成的双代号网络图如图所示,其中的错误有(  )。

A.节点编号有误

B.有循环回路

C.有多个起点节点

D.有多个终点节点

E.不符合给定的逻辑关系

答案如下:
D,E
第114题、 [多选题] 某工程双代号网络计划如下图所示,图中已标出每项工作的最早开始时间和最迟开始时间,该计划表明(  )。

A.工作1-3的自由时差为2

B.工作2-5为关键工作 

C.工作2-4的自由时差为1

D.工作3-6的总时差为零

E.工作4-7为关键工作 

答案如下:
A,B,D
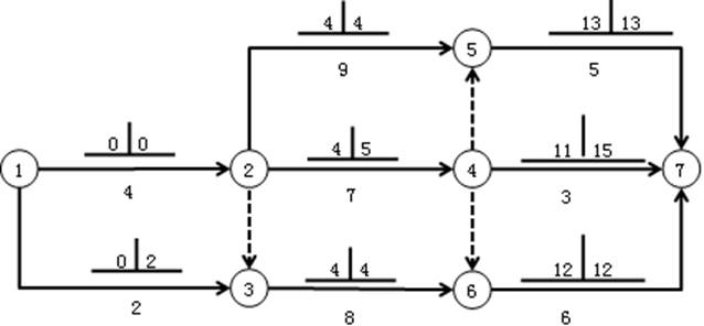
第116题、 [多选题] 某工程项目时标网络图如下图所示,则(  )。

A.工作I的最早开始时间为第10天

B.工作D的总时差为3d

C.工作C的自由时差为2d

D.工作C的最迟开始时间为第2天

E.工作D的最迟完成时间为第12天

答案如下:
A,C,D
第117题、 [多选题] 当需要缩短关键工作的持续时间时,其缩短值的确定必须符合(  )。

A.缩短后工作的持续时间不能小于其最短持续时间

B.缩短持续时间的工作可变为非关键工作

C.缩短后持续时间应等于最短持续时间

D.缩短持续时间的工作不可变为非关键工作

E.可随意确定

答案如下:
A,D
第118题、 [多选题] 某钢筋绑扎工程计划进度与实际进度如下图所示,该图表明本工程(  )。

A.第1周内实际进度拖后3%

B.第3周内未实施

C.至第4周末实际进度超前5%

D.至第5周末实际进度拖后8%

E.第3周内计划完成8%

答案如下:
B,E
第119题、 [多选题] 工程项目施工阶段进度控制工作细则的主要内容包括(  )。

A.施工进度控制目标分解图

B.工程进度款支付时间与方式

C.进度控制人员的职责分工

D.施工机械进出场安排

E.进度控制目标实现的风险分析

答案如下:
A,C,E
第120题、 [多选题] 在建设工程施工阶段,当通过压缩网络计划中关键工作的持续时间来缩短工期时,通常采取的经济措施有(  )。

A.实行包干奖励

B.增加劳动力和施工机械的数量

C.提高奖金数额

D.改善劳动条件

E.对所采取的技术措施给予相应的经济补偿

答案如下:
A,C,E