搜索
才径谷 >建筑造价 >一级建造师 >2021年一级建造师《建设工程项目管理》密押卷

2021年一级建造师《建设工程项目管理》密押卷试卷及答案大全

永久免费查看
更新时间:2026-04-10

2021年一级建造师《建设工程项目管理》密押卷提供该考试科目的试卷全部试题及答案大全,科目内容齐全,答案供学员学习免费使用,助力考试通关!

第1题、 [单选题] 关于业主方项目管理目标和任务的说法,正确的是(  )。

A.业主方项目管理主要在施工阶段

B.业主方的投资目标指的是项目的总投资目标

C.质量控制是业主方项目管理任务中最重要的任务

D.业主方的进度目标指的是各里程碑事件目标

答案如下:
B
第2题、 [单选题] 编制项目管理任务分工表时,在(  )基础上,定义项目经理和费用控制、进度控制、质量控制、合同管理、信息管理和组织与协调等主管工作部门或主管人员的工作任务。

A.确定项目管理的各项工作流程

B.分析项目管理合同结构模式

C.项目管理任务分解

D.分析组织管理方面存在的问题

答案如下:
C
第3题、 [单选题] 能够反映一个组织系统中各工作部门之间指令关系的组织工具是()。

A.组织结构图

B.项目结构图

C.合同结构图

D.工作流程图

答案如下:
A
第4题、 [单选题] 与生成月度进度报告有关的数据处理流程属于(  )。

A.管理工作流程组织

B.设计工作流程组织

C.信息处理工作流程组织

D.物质流程组织

答案如下:
C
第5题、 [单选题] 建设项目决策阶段策划的主要任务是(  )

A.整合多方面专家的意见

B.对项目进行风险分析

C.对项目进行组织策划

D.定义项目开发或建设的任务和意义

答案如下:
D
第7题、 [单选题] 关于建设工程项目施工总承包模式与施工总承包管理模式的叙述,正确的是()。

A.施工总承包模式可以在很大程度上缩短建设周期

B.采用施工总承包管理模式时,对各个分包单位的工程款项,不能由施工总承包管理单位负责支付

C.施工总承包管理单位的招标可以不依赖完整的施工图

D.当采用施工总承包模式时,分包合同由业主与分包单位直接签订

答案如下:
C
第8题、 [单选题] 根据《建设工程项目管理规范》(GB/T50326—2017),项目管理实施规划的编制依据不包括(  )。

A.项目管理规划大纲

B.类似项目经验资料

C.项目资源和条件

D.有价值的历史数据

答案如下:
B
第9题、 [单选题] 下列关于施工组织设计的基本内容表述错误的是(  )。

A.施工环境及施工条件属于工程概况的内容

B.根据工程情况,结合人力、材料、机械设备、资金、施工方法等条件,全面部署施工任务,合理安排施工顺序属于施工部署及施工方案的内容

C.施工进度计划反映了最佳施工方案在时间上的安排

D.技术经济指标用以衡量施工的水平

答案如下:
D
第10题、 [单选题] 下列项目目标动态控制的纠偏措施中,属于组织措施的是(  )。

A.调整进度管理方法

B.改变施工管理方法

C.强化合同管理

D.调整工作流程组织

答案如下:
D
第11题、 [单选题] 在沟通过程中作为沟通的出发点和落脚点的沟通要素是()。

A.沟通主体

B.沟通介体

C.沟通客体

D.沟通渠道

答案如下:
C
第12题、 [单选题] 下列影响建设工程项目实施的风险因素中,属于经济与管理风险的是(  )。

A.气象条件

B.事故防范措施和计划

C.设计人员和监理工程师的能力

D.工程勘测资料

答案如下:
B
第14题、 [单选题] 下列成本计划中,施工承包企业将承接的高速公路项目的目标总成本分解为桥梁工程成本、隧道工程成本、道路工程成本等子项形成的成本计划,属于(  )。

A.按成本组成编制成本计划

B.按项目结构编制成本计划

C.按工程实施阶段编制成本计划

D.按工程性质编制成本计划

答案如下:
B
第16题、 [单选题] 施工成本的过程控制需制定规范化的过程控制程序,包括管理行为控制程序和指标控制程序,下列不属于管理行为控制程序的内容的是(  )

A.收集成本数据,检测成本形成过程

B.建立项目施工成本管理体系的评审组织和评审程序

C.目标考核,定期检查

D.制定对策,纠正偏差

答案如下:
A
第18题、 [单选题] 某工程项目的赢得值曲线如下图,关于项目偏差原因分析与纠偏措施的说法,正确的是(  )。

A.效率高,进度较慢,投入延后

B.效率较低,进度较快,投入超前

C.抽出部分人员,放慢进度

D.增加人员投入,加快速度

答案如下:
B
第20题、 [单选题] 某分项工程的混凝土成本数据如下表所示。应用因素分析法分析各因素对成本的影响程度,可得到的正确结论是(  )。

A.由于产量增加50元,成本增加21300元

B.由于单价提高40元,成本增加35020元

C.实际成本与目标成本的差额为56320元

D.由于损耗下降3%,成本减少9600元

答案如下:
C
第21题、 [单选题] 业主方项目进度控制的任务是控制()的进度。

A. 项目设计阶段

B. 整个项目实施阶段

C. 项目施工阶段

D. 整个项目决策阶段

答案如下:
B
第22题、 [单选题] 在工程实践中,必须树立和坚持一个最基本的工程管理原则,即(  )。

A.在确保工程质量的前提下,控制工程的进度

B.在确保工程质量和成本的前提下,控制工程的进度

C.在确保工程质量和成本的前提下,保证安全文明施工

D.在满足各项目参与方利益最大化的前提下,控制工程的进度

答案如下:
A
第23题、 [单选题] 某市拟新建一大型会展中心,项目建设单位组织有关专家对该项目的总进度目标进行论证,在调查研究和收集整理后,紧接着应进行的工作是()。

A.进行进度计划系统结构分析

B.进行项目结构分析

C.编制各级进度计划

D.确定工作编码

答案如下:
B
第24题、 [单选题] 下列计划方式中,工作进度线与时间坐标相对应的计划是(  )

A.里程碑计划

B.横道图计划

C.双代号网络计划

D.单代号搭接网络计划

答案如下:
B
第25题、 [单选题] 关于进度计划调整的说法,以下正确的是(  )。

A.网络计划的调整,必须定期进行

B.当实际进度比计划进度拖后时,在尚未完成的关键工作中,选择资源强度小的工作缩短其持续时间

C.当实际进度比计划进度拖后时,在尚未完成的关键工作中,选择费用高的工作缩短其持续时间

D.任何情况下都不允许增、减工作项目

答案如下:
B
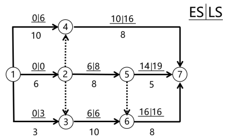
第26题、 [单选题] 某工程单代号网络图如下图所示,说法正确的是( )。

A.工作D的ES为2

B.工作G的FF为2

C.工作F的FF为1

D.工作H的FF为1

答案如下:
B
第28题、 [单选题] 工程网络计划中,某工作的总时差和自由时差均为2周。计划实施过程中经检查发现,该工作实际进度拖后1周。则该工作实际进度偏差对后续工作及总工期的影响是()。

A.对后续工作及总工期均有影响

B.对后续工作及总工期均无影响

C.影响后续工作,但不影响总工期

D.影响总工期,但不影响后续工作

答案如下:
B
第29题、 [单选题] 下列进度控制措施中,属于管理措施的是(  )。

A.分析影响工程进度的风险

B.制定项目进度控制的工作流程

C.选用有利的设计和施工技术

D.建立进度控制的会议制度

答案如下:
A
第30题、 [单选题] 根据《质量管理体系基础和术语》(GB/T19000-2016),质量控制的定义是(  )。

A.质量管理的一部分,致力于满足质量要求的一系列相关活动

B.工程建设参与者为了保证工作项目质量所从事工作的水平和完善程度

C.对建筑产品具备的满足规定要求能力的程度所作的系统检查

D.在质量方面指挥和控制组织的协调的活动

答案如下:
A
第31题、 [单选题] 环境因素对工程质量的影响具有复杂多变和不确实性的特点,下列属于施工质量管理环境因素控制的是(  )。

A.加强施工过程中的预警与监控

B.制定应对停水、停电、火灾、食物中毒等方面的应急预案

C.建立统一的现场施工组织系统

D.严格执行施工平面规划和施工纪律

答案如下:
C
第32题、 [单选题] 项目质量控制体系的建立原则不包括()。

A.分层次规划原则

B.动态控制原则

C.目标分解原则

D.质量责任制原则

答案如下:
B
第33题、 [单选题] 某企业通过企业质量管理体系认证后,由于管理不善,认证机构做出撤销认证的决定,则该企业(  )。

A.可以提出申诉,并在一年后可重新提出认证申请

B.不能提出申诉,不能再重新提出认证申请

C.不能提出申诉,但在一年后可以重新提出认证申请

D.可以提出申诉,并可马上重新提出认证申请

答案如下:
A
第34题、 [单选题] 全面质量管理(TQC)的主要特点不包括()。

A.以顾客满意为宗旨

B.提倡预防为主

C.提倡科学管理

D.领导不参与质量方针的制定

答案如下:
D
第35题、 [单选题] 施工作业质量的自控过程是由施工作业组织的成员进行的,其基本的控制程序不包括(  )

A.作业技术交底

B.作业质量的自检自查

C.专职管理人员的质量检查

D.见证取样送检

答案如下:
D
第37题、 [单选题] 在施工准备阶段,绘制配线图表属于(  )的质量控制工作。

A.现场施工准备

B.施工技术准备

C.测量控制准备

D.施工平面控制

答案如下:
B
第38题、 [单选题] 下列施工质量控制依据中,属于专业技术性依据的是(  )。

A.工程建设项目质量检验评定标准

B.建设工程质量管理条例

C.设计交底及图纸会审记录

D.设计修改和技术变更通知

答案如下:
A
第39题、 [单选题] 在建设工程项目施工质量控制的系统过程中,事中控制是指(  )。

A.对质量活动的行为约束和对质量活动过程和结果的检查与监控

B.对质量计划的调整和对质量偏差的纠正

C.对质量活动的行为约束和对质量活动结果的评价认定

D.对质量活动前准备工作和质量活动过程的监督控制

答案如下:
A
第40题、 [单选题] 经项目监理机构对竣工资料及实物全面检查、验收合格后,由(  )签署单位工程竣工验收报审表,并向建设单位提出质量评估报告。

A.专业监理工程师

B.总监理工程师

C.施工单位项目负责人

D.建设单位现场代表

答案如下:
B
第43题、 [单选题] 下列内容中,属于工程质量监督机构的工作内容的是(  )。

A.执行工程建设强制性标准的情况

B.对工程项目进行质量评定

C.对工程项目结算情况进行监督

D.对建筑材料检验进行监督

答案如下:
A
第44题、 [单选题] 根据《环境管理体系要求及使用指南》,“环境”是指()。

A.组织运行活动的外部存在

B.各种天然的和经过人工改造的自然因素的总体

C.废水、废气、废渣的存在和分布情况

D.周边大气、阳光和水分的总称

答案如下:
A
第46题、 [单选题] 建设工程产品的时代性、社会性与多样性决定了其环境管理的(  )

A.协调性

B.持续性

C.多变性

D.经济性

答案如下:
D
第47题、 [单选题] 编制安全技术措施计划的程序包括:①工作活动分类;②风险评价;③风险确定;④危险源识别;⑤制定安全技术措施计划。其正确的步骤是(  )。

A.①—④—②—③—⑤

B.①—③—④—②—⑤

C.①—③—②—④—⑤

D.①—④—③—②—⑤

答案如下:
D
第48题、 [单选题] 施工单位对人、机、环境系统进行安全治理的同时,还需治理安全管理措施,体现了安全事故隐患治理原则中的(  )

A.冗余安全度治理原则

B.单项隐患综合治理原则

C.重点治理原则

D.事故直接隐患与间接隐患并治原则

答案如下:
D
第49题、 [单选题] 下列各类保险中,由建筑施工企业自主决定是否投保的是(  ),属于法定的强制性保险的是(  )。

A.工伤保险;意外伤害保险

B.医疗保险;意外伤害保险

C.意外伤害保险;工伤保险

D.意外伤害保险;商业保险

答案如下:
C
第50题、 [单选题] 施工项目的安全检查应由(  )组织,定期进行。

A.总监理工程师

B.项目经理

C.业主

D.安全工程师

答案如下:
B
第51题、 [单选题] 安全措施计划不包括(  )。

A.安全宣传教育措施

B.职业卫生措施

C.辅助用房及设施

D.生产安全事故处理措施

答案如下:
D
第55题、 [单选题] 一般情况下,建设工程合同文件的构成内容不包括(  )

A.工程量及价格

B.招标人须知

C.中标通知书

D.双方代表共同签署的合同补遗

答案如下:
B
第56题、 [单选题] 世界银行贷款项目中的工程和货物的采购方式有多种,其中相当于邀请招标的是(  )

A.国际竞争性招标

B.国内竞争性招标

C.有限国际招标

D.询价采购

答案如下:
C
第57题、 [单选题] 关于投标的截止日期,下列说法不正确的是(  )。

A.招标人所规定的投标截止日就是评标结束的日期

B.投标人在投标截止日之前所提交的投标是有效的

C.超过该日期之后就会被视为无效投标

D.在招标文件要求提交投标文件的截止时间后送达的投标文件,招标人可以拒收

答案如下:
A
第58题、 [单选题] 根据《建设工程施工专业分包合同(示范文本)》GF—2003—0213的规定,承包人应提供总包合同供分包人查阅,但可以不包括其中有关(  )。

A.项目业主的情况

B.承包工程的价格内容

C.违约责任的条款

D.承包工程的进度要求

答案如下:
B
第59题、 [单选题] 建筑施工企业与物资供应企业就某建筑材料签订采购合同,如该建筑材料不属于国家定价的产品,则其价格应(  )。

A.报请物价主管部门确定

B.参考国家定价确定

C.按当地工程造价管理部门公布的指导价确定

D.由供需双方协商确定

答案如下:
D
第60题、 [单选题] 施工合同文件的组成部分一般不包括(  )

A.协议书

B.中标通知书

C.劳动报酬及支付

D.工程报价单或预算书

答案如下:
C
第61题、 [单选题] 在施工过程中,若监理工程师发现曾检验合格的工程部位仍存在施工质量问题,且造成该施工质量问题的是承包人原因,则修复该部位工程质量缺陷时,应(  )。

A.由发包人承担费用损失,由发包人承担工期损失

B.由承包人承担费用损失,由发包人承担工期损失

C.由发包人承担费用损失,由承包人承担工期损失

D.由承包人承担费用损失,由承包人承担工期损失

答案如下:
D
第63题、 [单选题] 关于成本加酬金合同的特点和应用,以下说法正确的是(  )。

A.采用该计价方式不利于业主方的投资控制

B.采用该计价方式不利于业主方的进度控制

C.对业主而言,这种合同计价方式风险很大,没有优点

D.该计价方式不宜用于施工总承包管理模式

答案如下:
A
第64题、 [单选题] 在单价合同的投标报价中,投标人的投标书中出现了明显的数字计算错误,导致总价和单价计算结果不一致,下列行为中,属于业主权力的是(  )。

A.业主有权力先做修改再评标,以总价作为最终报价结果

B.业主没有权力先修改后评标,可以宣布该投标人废标

C.业主没有权力先修改后评标,可以请该投标人再报价

D.业主有权力先做修改再评标,以单价为准调整总价

答案如下:
D
第65题、 [单选题] 关于工程保险的说法,以下正确的是(  )。

A.CIP保险能实施有效的风险管理,解决所有的风险问题

B.工程一切险投保对象是工程本体,投保时应以承发包双方名义共同投保,国内工程通常是由承包人办理

C.第三者责任险一般附加在工程一切险中

D.承包商在工地的财产损失,属于第三者责任险的赔偿范围

答案如下:
C
第66题、 [单选题] 关于合同实施偏差分析的说法,以下正确的是(  )。

A.增加人员投入属于合同实施偏差处理的经济措施

B.合同实施的偏差分析包括产生偏差的原因分析、合同实施偏差的责任分析和合同变更分析

C.取消合同中的一项工作,该项工作转由他人实施,这是属于工程变更的范围

D.承包商、业主方和设计方都可以根据需要提出工程变更

答案如下:
D
第67题、 [单选题] 按照索赔有关当事人分类,索赔不包括(  )

A.承包人与发包人之间的索赔

B.承包人与分包人之间的索赔

C.分包人和发包人之间的索赔

D.承包人和保险人之间的索赔

答案如下:
C
第68题、 [单选题] 索赔费用的计算方法不包括(  )。

A.实际费用法

B.总费用法

C.预算费用法

D.修正的总费用法

答案如下:
C
第69题、 [单选题] 采用DAB方式解决工程承包合同争议时,DAB委员是(  )选定的。

A.发包人

B.监理人

C.发包人和承包人共同

D.发包人和监理人共同

答案如下:
C
第70题、 [单选题] 对建设工程项目信息分类按()分为设计准备信息、设计信息、招投标信息和施工过程信息等。

A.项目管理工作的对象分类

B.项目实施的工作过程

C.项目管理工作的任务分类

D.按信息内容的属性分类

答案如下:
B
第71题、 [多选题] 下列工程管理工作中,属于工程使用增值的是()

A.提高工程质量

B.有利于工程维护

C.确保工程使用安全

D.满足最终用户的使用功能

E.有利于降低工程运营成本

答案如下:
B,C,D,E
第72题、 [多选题] 编制施工组织总设计的依据有()。

A.工程计划文件

B.工程施工合同和招标投标文件

C.工程设计文件

D.项目部人员配置

E.工程施工范围内的现场条件,工程地质及水文地质、气象等自然条件

答案如下:
B,C,E
第73题、 [多选题] 下列有关建造师和项目经理的说法,错误的有()。

A.建造师是管理岗位,项目经理是技术岗位

B.取得建造师注册证书的人员是否担任工程项目施工的项目经理,由企业自主决定

C.大、中型工程项目施工的项目经理必须由取得建造师注册证书的人员担任

D.项目经理确需离开施工现场时,应事先通知监理人,并取得发包人的书面同意

E.承包人需要更换项目经理的,应提前28天书面通知发包人和监理人,并征得发包人的书面同意

答案如下:
A,E
第74题、 [多选题] 下列属于项目管理机构负责人的权限的有()。

A.参与组织对项目各阶段的重大决策

B.决定授权范围内的项目资源使用

C.参与选择大宗资源的供应单位

D.主持项目管理机构工作

E.制定内部计酬办法

答案如下:
A,B,C,D
第75题、 [多选题] 项目人力资源管理控制的内容包括(  )。

A.人力资源的选择

B.编制人力资源需求计划

C.订立劳务分包合同

D.编制人力资源配置计划

E.进行教育培训和考核

答案如下:
A,C,E
第76题、 [多选题] 施工招标阶段建设监理工作的主要任务有(  )。

A.编写施工招标文件

B.准备建设工程施工招标条件

C.参与施工合同的商签

D.协助业主办理招标申请

E.组织建设工程施工招标的工作

答案如下:
B,C,D
第77题、 [多选题] 下列施工成本管理措施中,属于组织措施的有()

A.利用施工组织设计降低材料的库存成本

B.确定合理详细的成本管理工作流程

C.加强施工任务单管理

D.确定施工设备使用方案

E.编制成本控制工作计划

答案如下:
B,C,E
第78题、 [多选题] 通过对施工成本目标按时间进行分解.在网络计划基础上,可获得项目进度计划的横道图,并在此基础上编制成本计划。其表示方式有(  )。

A.在时标网络图上按月编制的

B.利用时间—成本累积曲线表示

C.在横道图上按月编制的

D.利用时间—进度累积曲线表示

E.利用进度—成本累积曲线表示

答案如下:
A,B
第79题、 [多选题] 施工预算的编制依据包括(  )。

A.会审后的施工图纸

B.初步设计批复

C.施工组织设计

D.材料预算价格

E.现行的预算定额

答案如下:
A,C,D
第80题、 [多选题] 在施工成本管理中,一般以(  )作为成本考核的主要指标。

A.施工成本降低额

B.施工成本降低率

C.施工生产总成本

D.劳动力不均衡系数

E.生产能力利用率

答案如下:
A,B
第81题、 [多选题] 成本分析的主要依据是会计核算、业务核算和统计核算所提供的资料,下列说法正确的有(  )。

A.会计核算和统计核算的范围广

B.会计核算的范围窄,比统计核算的范围广

C.业务核算的范围比统计核算和会计核算广

D.会计核算是价值核算

E.会计核算可以对尚未发生的经济活动进行核算

答案如下:
C,D
第82题、 [多选题] 按工作持续时间的特点不同,工程网络计划可划分为(  )。

A.肯定型网络计划

B.随机型网络计划

C.分级型网络计划

D.事件型网络计划

E.非肯定型网络计划

答案如下:
A,B,E
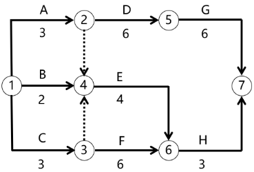
第83题、 [多选题] 某工程双代号网络计划如下图,正确有()。

A.工作①→③的总时差等于自由时差

B.工作①→④的总时差等于自由时差

C.工作②→⑤的自由时差为零

D.工作⑤→⑦为关键工作

E.工作⑥→⑦为关键工作

答案如下:
A,C,E
第84题、 [多选题] 某分部工程双代号时标网络计划执行到第6天和第10天结束时,检查其实际进度如下图前锋线所示,检查结果表明()。

A.第6天结束检查时,工作B的实际进度不影响总工期

B.第6天结束检查时,工作D的总时差尚有2天

C.第10天结束检查时,工作E的实际进度会影响总工期

D.第10天结束检查时,工作C的实际进度影响工期1天

E.在第6天到第10天内,工作D的实际进度加快1天的

答案如下:
A,C,D,E
第85题、 [多选题] 某分部工程双代号网络计划如下图所示,图中错误有()。

A.节点编号有误

B.工作代号重复

C.多个起点节点

D.多个终点节点

E.存在循环回路

答案如下:
A,D,E
第86题、 [多选题] 缩短关键工作的持续时间时,其缩短值的确定必须符合()。

A.缩短后工作的持续时间不能小于其最短持续时间

B.缩短后的持续时间不能大于其最短持续时间

C.缩短持续时间的工作不能变成非关键工作

D.缩短持续时间的工作能变成非关键工作

E.缩短后对非关键工作无影响

答案如下:
A,C
第87题、 [多选题] 下列进度控制的措施中,属于组织措施的有()。

A.按时支付工程款项

B.设立提前完工奖

C.拖延完工予以处罚

D.编制进度控制工作流程

E.定义项目进度计划系统的组成

答案如下:
D,E
第88题、 [多选题] 下列质量风险应对策略中,属于风险自留的有()。

A.依法进行招标投标,慎重选择有资质、有能力的项目设计、施工、监理单位,避免因这些质量责任单位选择不当而发生质量风险

B.在施工中有针对性地制定和落实有效的施工质量保证措施和质量事故应急预案

C.采取设立风险基金的办法,在损失发生后用基金弥补

D.不选用不成熟、不可靠的设计、施工技术方案

E.在建筑工程预算价格中通常预留一定比例的不可预见费,一旦发生风险损失,由不可预见费支付

答案如下:
C,E
第89题、 [多选题] 项目质量风险管理计划的内容一般包括(  )

A.质量风险的形成过程及危害

B.项目质量风险管理方针、目标

C.质量风险识别和评估结果

D.质量风险应对策略和具体措施

E.相应的资源准备计划

答案如下:
B,C,D,E
第90题、 [多选题] 下列选项中可作为质量控制点的部位或环节的是(  )。

A.施工过程中的薄弱环节

B.对上道工序有较大影响的下道工序

C.采用新技术、新工艺、新材料的部位或环节

D.技术难度大的工序或环节

E.用户反馈指出的不良工序

答案如下:
A,C,D,E
第91题、 [多选题] 工程质量验收时,施工单位技术、质量部门负责人应参加验收的分部工程有(  )。

A.地基与基础

B.装饰装修

C.主体结构

D.环境保护

E.节能工程

答案如下:
A,C,E
第92题、 [多选题] 下列有关工程质量问题和质量事故分类的表述正确的有(  )。

A.根据我国国家标准《质量管理体系基础和术语》的定义,工程产品未满足质量要求,就称之为质量不合格

B.某工程质量事故造成人员死亡25人,则该事故属于重大事故

C.某工程质量事故造成直接经济损失1.1亿元,则该事故属于特别重大事故

D.由于工程负责人放松或不按质量标准进行控制和检验而造成的质量事故属于指导责任事故

E.按事故责任分类,可将工程质量事故分为人为责任事故、意外责任事故、自然灾害事故

答案如下:
A,B,C,D
第93题、 [多选题] 关于建设工程安全生产管理预警级别的说法,正确的有(  )。

A.Ⅳ级预警表示生产活动处于正常状态

B.Ⅰ级预警一般用蓝色表示

C.Ⅲ级预警表示处于事故的上升阶段,用橙色表示

D.Ⅱ级预警表示受到事故的严重威胁

E.Ⅳ预警一般用黄色表示

答案如下:
A,D
第94题、 [多选题] 下列有关建设工程施工现场职业健康安全卫生要求的表述正确的有(  )。

A.为保持卫生整洁,施工现场宿舍内不应设置垃圾桶

B.食堂的燃气罐应单独设置存放间

C.施工现场宿舍使用通铺

D.施工现场宿舍内的床铺不得超过2层

E.施工现场有法定传染病时,应及时进行隔离

答案如下:
B,D,E
第95题、 [多选题] 根据《建设工程施工劳务分包合同(示范文本)》GF—2003—0214的规定,关于劳务报酬的表述,正确的有( )。

A.约定不同工作成果的计件单价(含管理费),按确认的成本计算

B.约定不同工种劳务的计时单价(含管理费),按确认的工时计算

C.变动劳务报酬(含管理费)

D.约定不同工作成果的计件单价(含管理费),按确认的工程量计算

E.固定劳务报酬(含管理费)

答案如下:
B,D,E
第96题、 [多选题] 按照《建设工程监理合同(示范文本)》,除专用条件另有约定外,监理工作内容包括(  )。

A.审核施工分包人资质条件

B.检查施工承包人的试验室

C.验收隐蔽工程、分部分项工程

D.组织工程竣工验收,签署竣工验收意见

E.视具体情况直接签发工程暂停令和复工令

答案如下:
A,B,C
第97题、 [多选题] 关于支付担保的说法,以下正确的是(  )。

A.可由担保公司提供担保

B.担保的额度为工程合同价总额的10%

C.实行分段滚动担保

D.支付担保的主要作用是确保工程费用及时支付到位

E.支付担保是招标人要求中标人提供的担保

答案如下:
A,C,D
第98题、 [多选题] 建设工程合同分析的主要内容有(  )

A.合同的法律基础

B.承包人的主要任务

C.发包人的责任

D.违约责任

E.工程项目的经济效益研究

答案如下:
A,B,C,D
第99题、 [多选题] 下列有关施工分包管理的表述正确的有(  )。

A.对施工分包单位进行管理的第一责任主体是项目监理机构

B.在施工分包合同中应该确定进度计划拖延的责任,并在施工过程中进行严格考核

C.工程施工的分包是国内目前非常普遍的现象和工程实施方式

D.分包单位就分包工程的施工质量直接向业主负责

E.应该建立对分包人进行管理的组织体系和责任制度,对每一个分包人都有负责管理的部门或人员,进行对口管理

答案如下:
B,C,E
第100题、 [多选题] 建设工程项目信息管理手册的主要内容包括(  )等。

A.信息的编码体系和编码

B.信息输入输出模型

C.工程档案管理制度

D.各种报表和报告格式

E.信息应用效果分析

答案如下:
A,B,C,D